advertisement

【高校受験2022】岐阜県公立高、第1次選抜の出願状況(確定)岐阜1.18倍 3枚目の写真・画像

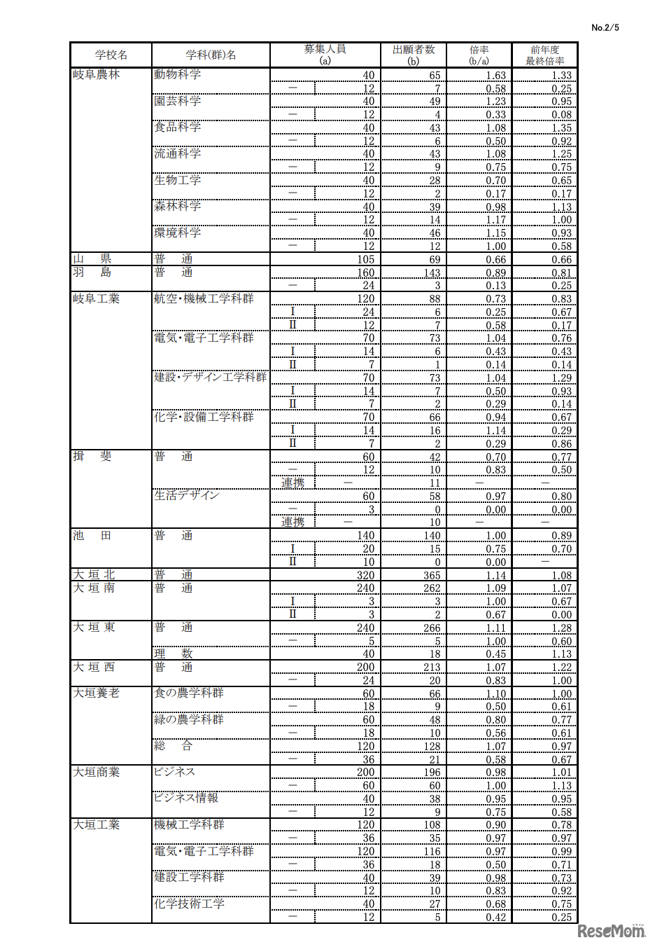
 岐阜県教育委員会は2022年2月22日、令和4年度(2022年度)岐阜県公立高等学校入学者選抜における第1次選抜・連携型選抜の確定出願状況を発表した。全日制課程では、定員1万3,301人のところ、1万3,284人が出願し、倍率は1.0倍となった。

教育・受験 中学生
令和4年度(2022年度)岐阜県公立高等学校入学者選抜における第1次選抜・連携型選抜の確定出願状況
令和4年度(2022年度)岐阜県公立高等学校入学者選抜における第1次選抜・連携型選抜の確定出願状況

編集部おすすめの記事

特集

page top