advertisement
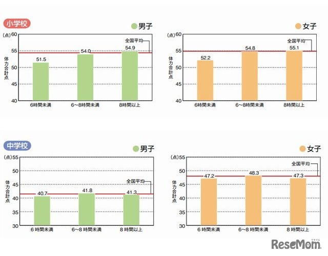
文部科学省は7月19日、「子どもの体力向上のための取組ハンドブック」を公表した。全国体力調査から、運動する子どもとしない子どもの体力水準の二極化や、生活習慣と体力の関係について明らかになった。
大学通信は2026年1月15日、「2025年学部系統別実就職率ランキ…
日本OECD共同研究プロジェクト「2040年の日本と教育をデザイ…
東京都教育委員会は2026年3月9日、2026年度(令和8年度)東京…
SAPIX小学部は2026年4月から12月にかけて、東京・神奈川の各…
三井住友海上エイジェンシー・サービスは、2026年3月より子供…
大学通信は2026年2月13日、有名企業への就職者数が多い大学を…
愛知県教育委員会は2026年3月10日、2026年度(令和8年度)公…
Language