advertisement

日本の子どもはリズムで文字を学ぶ?欧米と異なる独自発達…神大が研究 3枚目の写真・画像

 神戸大学大学院 人間発達環境学研究科の野中哲士准教授が、小学1年生を対象に、ひらがなの学習における書字身体技能の発達を調査したところ、欧米ラテンアルファベット圏の発達研究とは異なる「運動パターンの区別を身に付けるプロセス」の存在が明らかになった。

教育・受験 その他
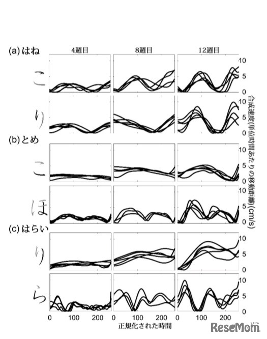
小学校教室におけるひらがな学習開始後4・8・12週目における、左側に黒色で示された筆画を複数回書く参加者のペン先の速度変化のプロファイル
小学校教室におけるひらがな学習開始後4・8・12週目における、左側に黒色で示された筆画を複数回書く参加者のペン先の速度変化のプロファイル

編集部おすすめの記事

特集

page top