advertisement
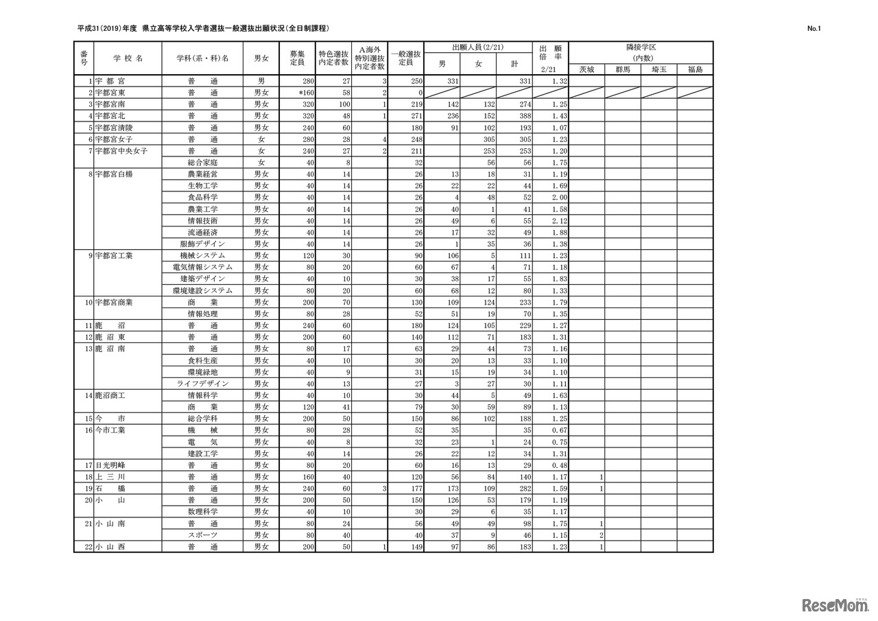
栃木県教育委員会は平成31年2月21日、平成31年度(2019年度)県立高校入試の一般選抜出願状況を発表した。出願変更前の全日制の出願状況は、一般選抜定員8,460人に対し、出願者は10,118人、出願倍率は1.20倍だった。
栃木県立高等学校の一般選抜が2026年3月5日に行われる。とち…
大学選びを具体化させ、志望校を肌で感じられる「オープンキ…
「イード・アワード2018 塾 中学生/個別指導の部」でやる気…
大分県教育委員会は2026年5月26日、2026年度(令和8年度)大…
東京都は2026年5月26日、2026年春のスギ・ヒノキ花粉の観測結…
福井県教育委員会は2026年5月26日、2026年度(令和8年度)福…
神戸大学と関西科学塾コンソーシアムは、第21回「女子中高生…
Language