advertisement
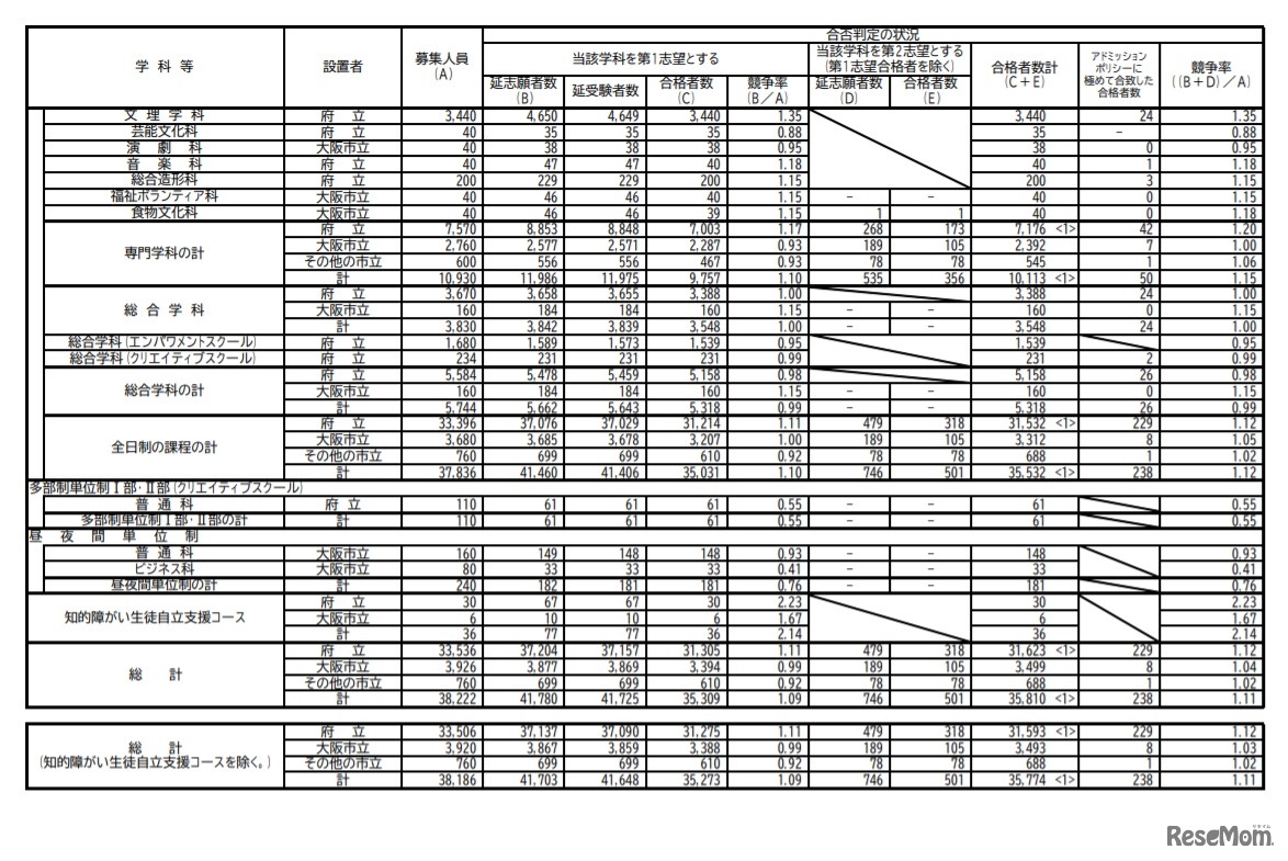
大阪府教育委員会は2021年7月19日、2021年度(令和3年度)公立高等学校入学状況概要を公表した。全日制の課程の競争率は1.12倍。一般入学者選抜における全日制の課程の競争率は1.12倍、このうち「普通科」は1.13倍であった。
令和2年度(2020年度)福島県立高等学校一般入学者選抜学力検…
大阪府教育委員会は2026年3月19日、2026年度(令和8年度)大…
KULは、eスタジアムとともに、2026年7月18日~8月16日に、教…
森ビルが運営する六本木ヒルズ展望台 東京シティビューは、人…
代々木ゼミナールは2026年4月4日、2026年度の私立大学一般入…
2026年春に文化祭や運動会を実施する、首都圏と関西の難関私…
Language