advertisement
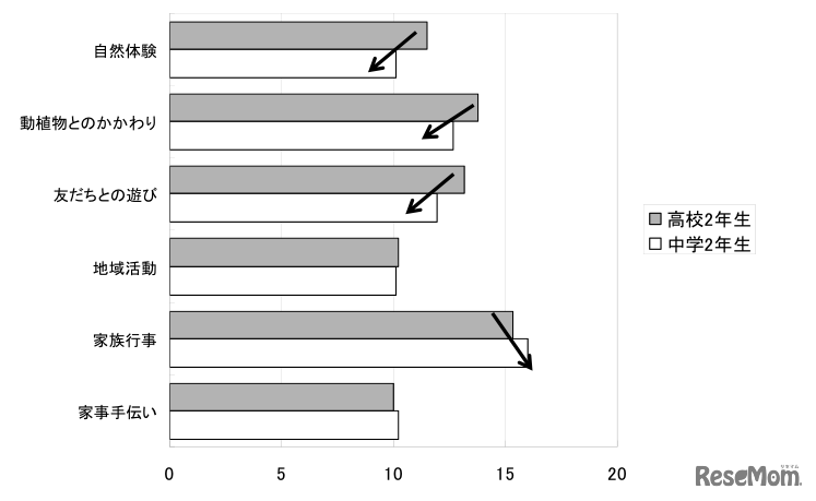
国立青少年教育振興機構は10月14日、「子どもの体験活動の実態に関する調査研究」の調査結果を発表した。
総務省は2月から5月にかけて、2026年「春のあんしんネット・…
サンシャイン60展望台 てんぼうパーク(東京・池袋)は2026年…
文教大学は2026年2月19日、2026年度A日程入試における出題ミ…
小学生が1か月間に読む本は平均12.1冊で、過去最高値を記録し…
香川県教育委員会は、2026年度(令和8年度)香川県公立高校一…
Language