advertisement

【高校受験2017】滋賀県公立高校一般選抜の志願状況・倍率(2/23時点)膳所1.42倍、米原1.32倍ほか 3枚目の写真・画像

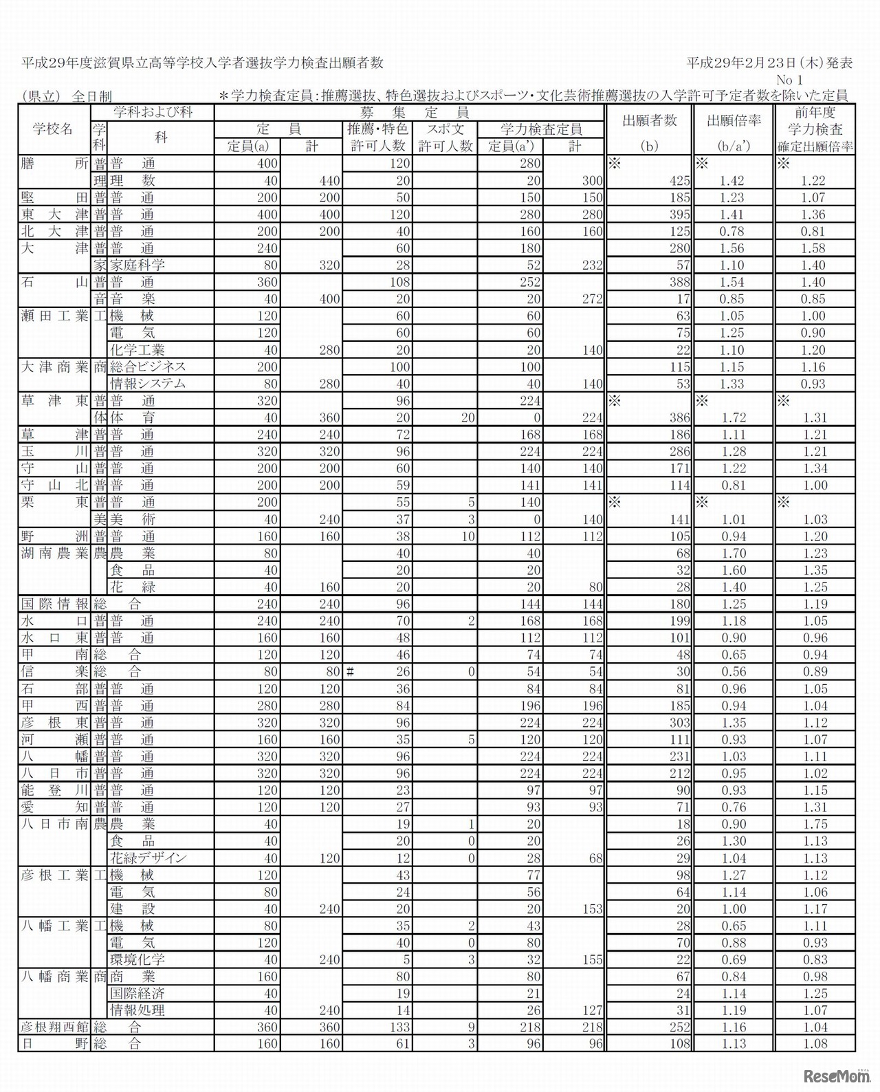
 滋賀県は平成29年2月23日、平成29年度(2017年度)滋賀県立高等学校入学者選抜(一般選抜)の学力検査について、出願状況と倍率を公開した。全日制学力検査定員6,882人に対し7,791人が出願し、出願倍率は1.13倍となった。

教育・受験 中学生
各高校の出願状況・倍率(1/3) 平成29年度(2017年度)滋賀県立高等学校入学者選抜(一般選抜)の学力検査に関する出願状況について
各高校の出願状況・倍率(1/3) 平成29年度(2017年度)滋賀県立高等学校入学者選抜(一般選抜)の学力検査に関する出願状況について

編集部おすすめの記事

特集

page top