advertisement
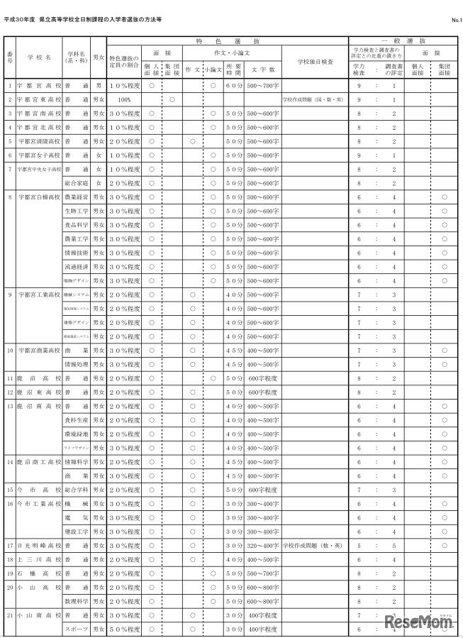
栃木県教育委員会は、平成30年度(2018年度)県立高等学校入学者選抜について、選抜日程と選抜要項を発表した。特色選抜は平成30年2月7日と2月8日、一般選抜は3月7日に実施する。募集定員は平成30年1月に公表予定。
「イード・アワード2018 塾 中学生/個別指導の部」でやる気…
栃木県教育委員会は2026年2月19日、2026年度(令和8年度)栃…
東京・春・音楽祭実行委員会は、2026年3月13日から4月19日ま…
香川県教育委員会は、2026年度(令和8年度)香川県公立高校一…
国公立大学の2026年度入試の2次試験が2026年2月25日(水)よ…
Language