advertisement
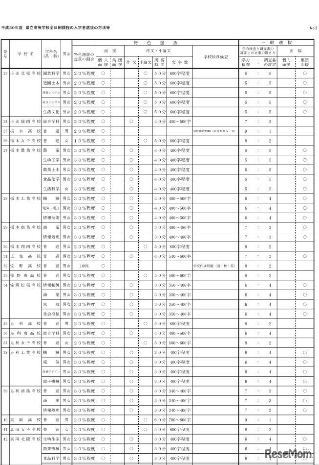
栃木県教育委員会は、平成30年度(2018年度)県立高等学校入学者選抜について、選抜日程と選抜要項を発表した。特色選抜は平成30年2月7日と2月8日、一般選抜は3月7日に実施する。募集定員は平成30年1月に公表予定。
「イード・アワード2018 塾 中学生/個別指導の部」でやる気…
大学選びを具体化させ、志望校を肌で感じられる「オープンキ…
東京理科大学は中・高校生を対象に、第一線で活躍する研究者…
大分県教育委員会は2026年5月26日、2026年度(令和8年度)大…
栃木県立高等学校の一般選抜が2026年3月5日に行われる。とち…
Language