advertisement

【高校受験2019】長崎県公立高一般入試、志願状況・倍率(2/19時点)長崎西(理系)2.4倍など 3枚目の写真・画像

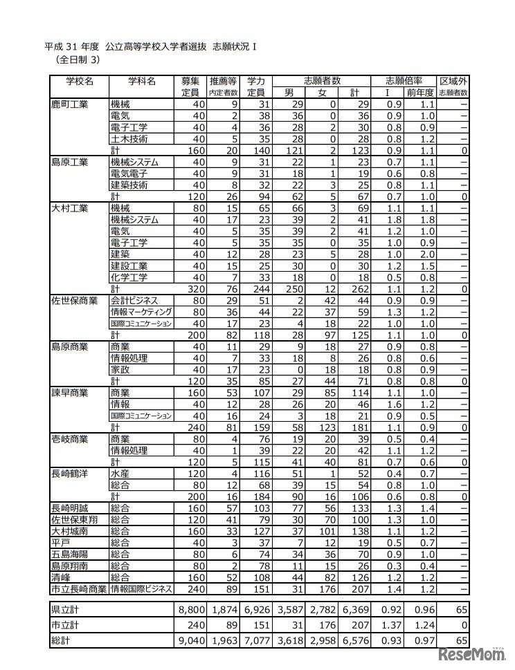
 長崎県教育委員会は2019年2月19日、2019年度公立高等学校一般入学者選抜の志願状況(志願変更前)を公表した。全日制は定員7,077人に対して、志願者数6,576人、志願倍率0.93倍。41校71学科で定員割れとなった。最高倍率は長崎西(普通・理系)2.4倍。

教育・受験 中学生
平成31年度長崎県公立高等学校入学者選抜志願状況I(全日制)
画像出典:長崎県教育委員会 平成31年度長崎県公立高等学校入学者選抜志願状況I(全日制)

編集部おすすめの記事

特集

page top