advertisement
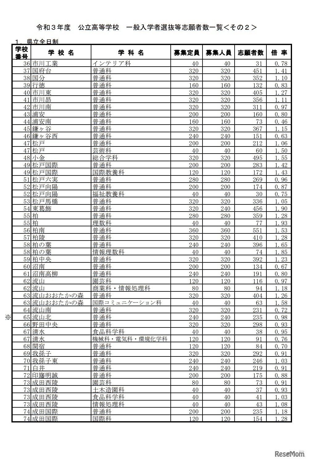
千葉県教育委員会は2021年2月12日、令和3年度(2021年度)千葉県公立高等学校入学者選抜について、一般入学者選抜などの志願状況(志願変更前)を発表した。志願倍率は、全日制の課程が1.09倍、定時制の課程が0.57倍だった。
千葉県教育委員会は2026年5月19日、2026年度(令和8年度)千…
令和2年度(2020年度)福島県立高等学校一般入学者選抜学力検…
大分県教育委員会は2026年5月26日、2026年度(令和8年度)大…
東京都は2026年5月26日、2026年春のスギ・ヒノキ花粉の観測結…
福井県教育委員会は2026年5月26日、2026年度(令和8年度)福…
神戸大学と関西科学塾コンソーシアムは、第21回「女子中高生…
Language