advertisement

【大学受験2021】国公立大2次試験(前期)初日は19万8,972人が受験 2枚目の写真・画像

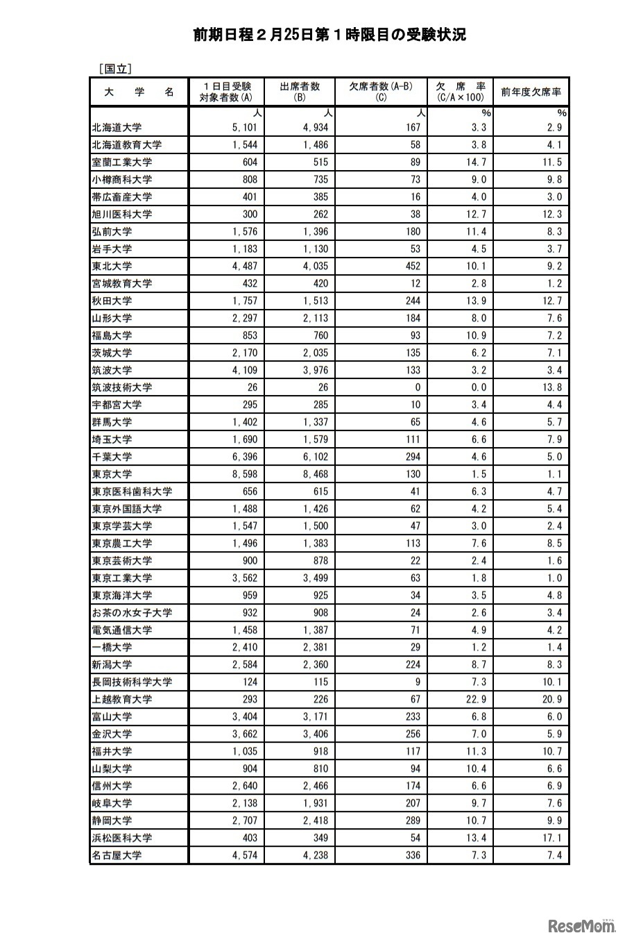
 文部科学省は2021年2月25日、同日行われた令和3年度(2021年度)国公立大学入学者選抜(一般入試)の第2次試験前期日程個別学力検査について、1日目第1時限目の受験状況を発表した。161大学の出席者数は19万8,972人、欠席率は7.1%だった。

教育・受験 高校生
前期日程第1日目第1時限目の受験状況(国立)
画像出典:文部科学省 前期日程第1日目第1時限目の受験状況(国立)

編集部おすすめの記事

特集

page top