advertisement
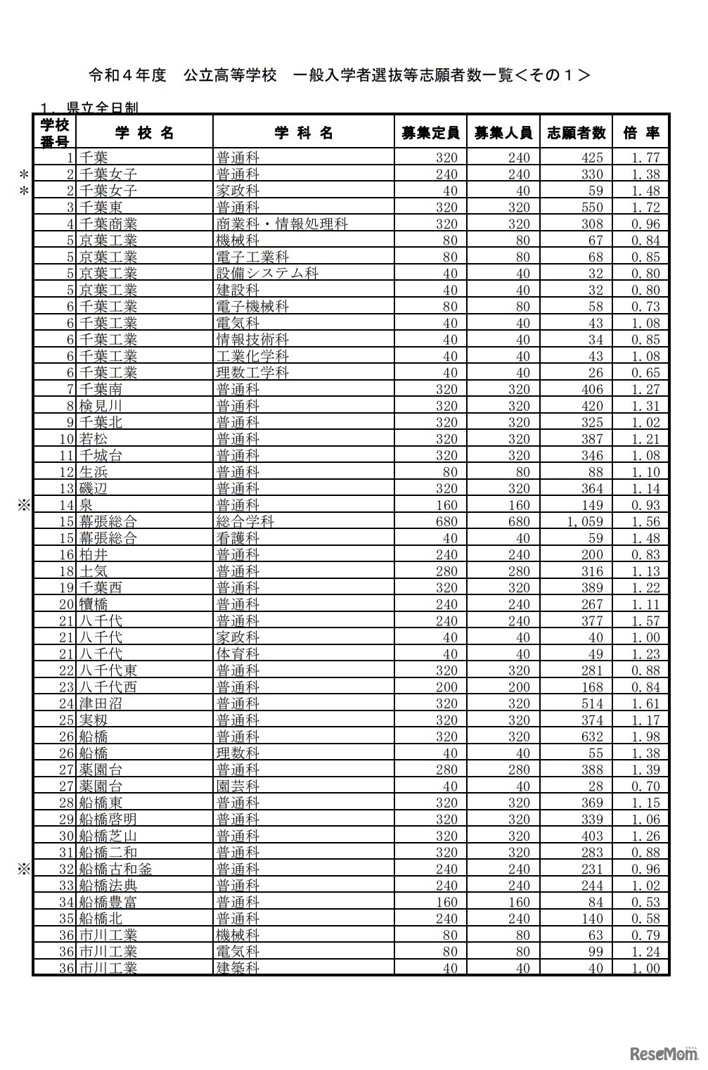
千葉県教育委員会は2022年2月14日、令和4年度(2022年度)千葉県公立高等学校入学者選抜について、一般入学者選抜等の志願状況(志願変更前)を発表した。志願倍率は、全日制の課程が1.11倍、定時制の課程が0.62倍だった。
【高校受験2022】青森県公立高校入試<社会>問題・正答
千葉県教育委員会は2026年5月19日、2026年度(令和8年度)千…
未来教育総合研究所は2026年7月5日、ルミエール府中にて「み…
地球×共生と学びを支える3つの柱をもつ青山学院大学地球社会…
千葉科学大学は2026年5月27日、2027年度入試(2026年度実施分…
福井県教育委員会は2026年5月26日、2026年度(令和8年度)福…
Language