advertisement
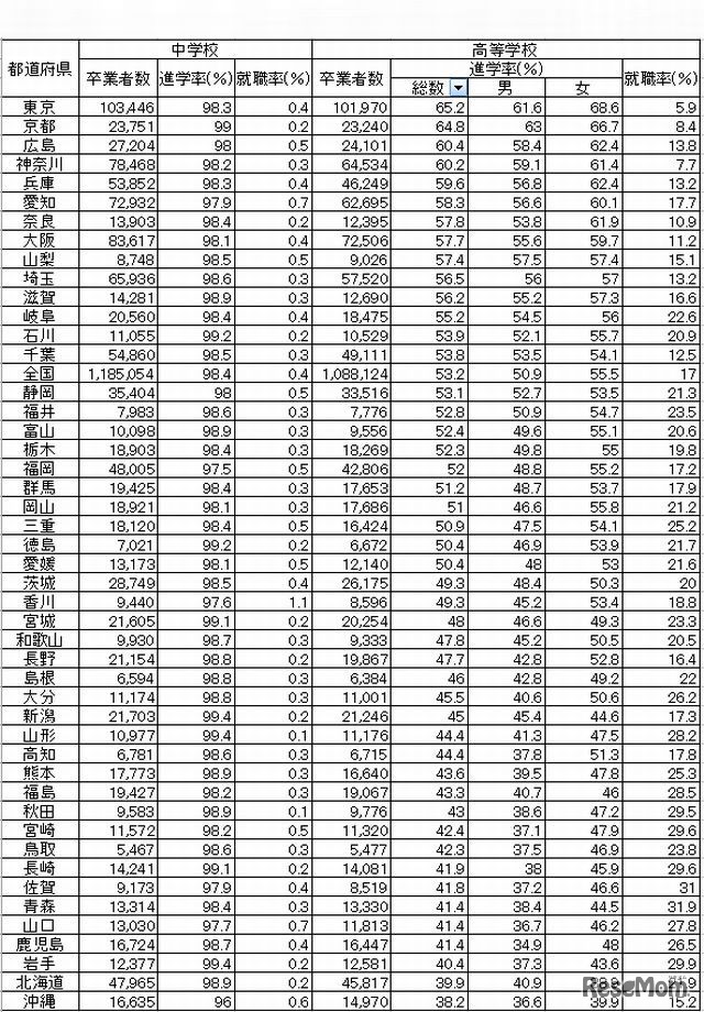
総務省統計局が3月12日に発表した「日本の統計2015」によると、高校卒業者の進学率は53.2%で、男子(50.9%)よりも女子(55.5%)の方が高い。都道府県別に見ると、1位「京都」65.2%、2位「京都」64.8%、3位「広島」60.4%であることが明らかになった。
子供がオンラインで読書習慣を身に付けるサービスを運営するY…
2026年3月20日、青山学院中等部(東京都渋谷区)にて、全国か…
2026年度(令和8年度)大学入学共通テスト(旧センター試験、…
厚生労働省は2026年1月16日、2026年第2週(2026年1月5日~11…
2026年1月17日、2026年度(令和8年度)大学入学共通テスト(…
共通テスト1日目1月18日の試験が終了した。新聞各社と大学入…