advertisement
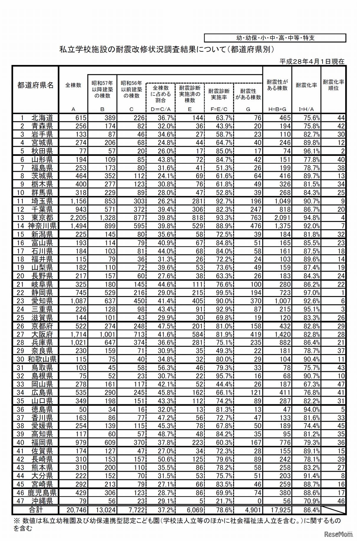
文部科学省は11月16日、平成28年度私立学校施設の耐震改修状況等の調査結果について公表した。幼稚園や小中学校、高等学校や大学のいずれも平成27年度に比べ耐震化が進んでおり、耐震診断の実施率も上昇していた。
「第7回Minecraftカップ まちづくり部門 全国大会・表彰式」…
絵本ナビは2026年2月19日、この春入園・入学を迎える親子を応…
大牟田文化会館は2026年2月28日、世界的ベストセラー「星の王子…
首都圏の私立小学校20校が参加する第14回「私立小学校フェス…
福岡県私学協会は2026年2月12日、2026年度(令和8年度)の補…
サンシャイン60展望台 てんぼうパーク(東京・池袋)は2026年…
宮崎県教育委員会は2026年2月24日、2026年度(令和8年度)宮…
文教大学は2026年2月19日、2026年度A日程入試における出題ミ…
こども家庭庁は2月6日、霞が関プラザホールにて「こどものま…
Language