advertisement
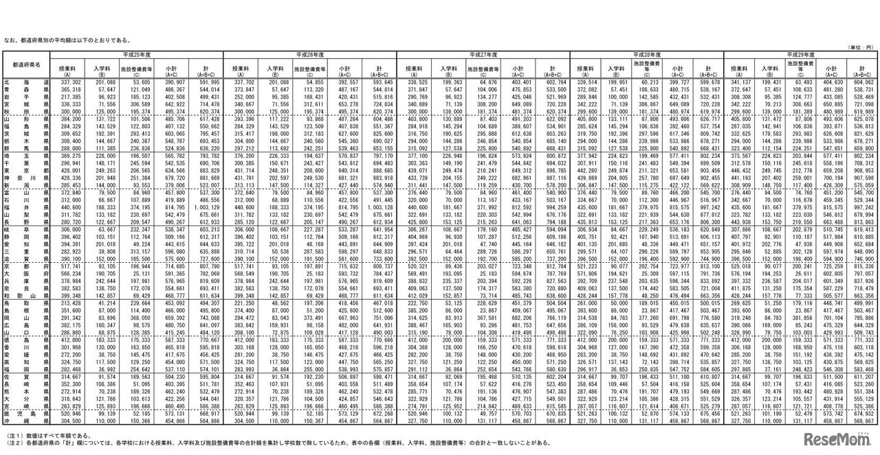
文部科学省は平成29年12月26日、平成29年度の私立の幼稚園と小学校、中学校、高校(全日制)の授業料調査結果を公表した。私立高校の初年度納付金の平均額は72万8,280円で、都道府県別にみると福井県がもっとも高かった。
エー・アンド・アイが運営する幼稚園・小学校受験対策教室「…
個別指導塾「スクールIE」は2025年11月~12月にかけて、8月に…
産業能率大学は2025年11月14日、大学受験生が直面する経済的…
2025年度の大学入学者の53.6%が「総合型選抜」または「学校…
福井県勝山市は、福井県立大学恐竜学部に在籍する学生を対象…
厚生労働省は2025年12月5日、第48週(11月24日~30日)のイン…
イオンは2025年12月5日から2026年1月7日まで、全国約7,600か…
北海道教育委員会は2025年12月5日、2026年度(令和8年度)公…
ベネッセマナビジョンは2025年12月5日、高校3年生・高卒生対…