advertisement

【高校受験2018】山梨県公立高入試、後期選抜の志願状況・倍率(確定)甲府第一(探究)1.13倍、甲府西(普通)1.11倍など 3枚目の写真・画像

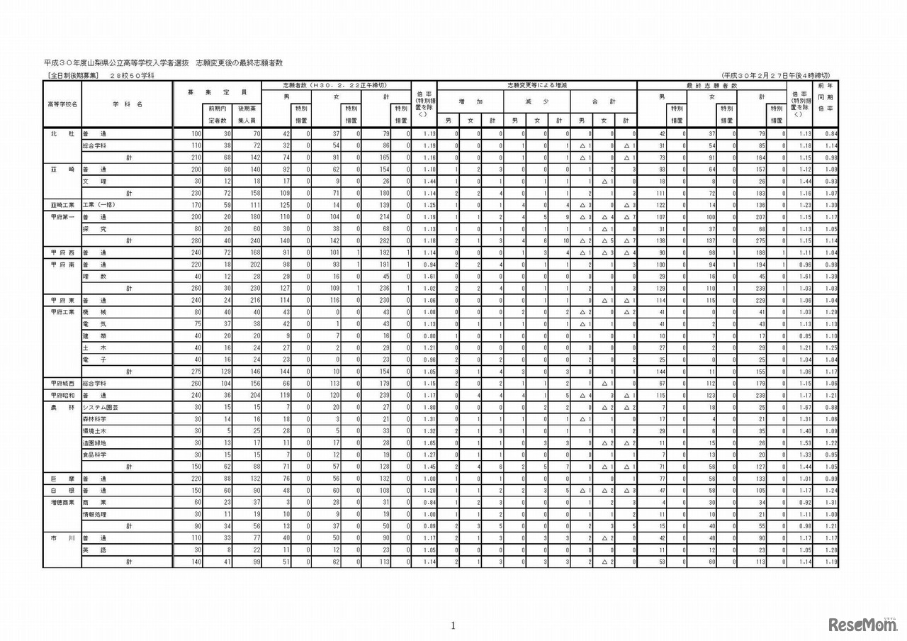
 山梨県教育委員会は平成30年2月28日、平成30年度(2018年度)山梨県公立高等学校の後期選抜について、志願変更受付後の志願状況・倍率を発表した。学校別の志願倍率は、甲府第一(探究)1.13倍、甲府西(普通)1.11倍など。

教育・受験 中学生
平成30年度山梨県公立高等学校入学者選抜全日制後期募集および定時制課程の最終志願状況(甲陵高校を除く)
画像出典:山梨県 平成30年度山梨県公立高等学校入学者選抜全日制後期募集及び定時制課程の最終志願者数 (2月28日) 平成30年度山梨県公立高等学校入学者選抜全日制後期募集および定時制課程の最終志願状況(甲陵高校を除く)

編集部おすすめの記事

特集

page top