advertisement
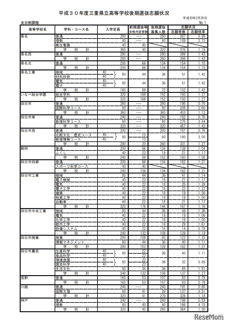
三重県教育委員会は平成30年3月1日、平成30年度(2018年度)三重県公立高等学校の一般入試について、2月28日時点の志願状況・倍率(中間発表)を発表した。学校別の志願倍率は、四日市(普通)0.70倍、伊勢(国際科学)2.00倍など。
「イード・アワード2018 塾 中学生/個別指導の部」でやる気…
名古屋商科大学は2026年度入学者選抜において、「一般入試前…
ワオ・コーポレーションは2026年1月8日、小中高生2万5,379人…
リセマムは2025年7月2日から8月4日にかけて、中学生以上のお…
東京都教育委員会は2026年1月7日、2026年度(令和8年度)都立…
日能研は、小学5年生(新6年生)以下の保護者を対象とした、…
埼玉県教育委員会は、2026年3月中学校等卒業予定者の2025年12…
河合塾学園は、2027年4月に開校予定(設置認可申請予定)の「…
三重県教育委員会は2025年10月8日、2026年度(令和8年度)三…