advertisement
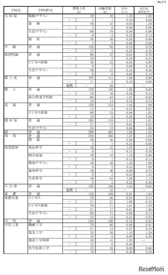
岐阜県教育委員会は2022年2月16日、2022年度(令和4年度)岐阜県公立高等学校入学者選抜における第1次・連携型選抜募集出願状況(志願変更前)を発表した。全日制課程は募集定員1万3,301人に対し、1万3,425人が出願し、出願倍率は1.01倍となった。
【高校受験2022】青森県公立高校入試<社会>問題・正答
岐阜県教育委員会は2026年4月10日、2027年度(令和9年度)岐…
進学相談.comは、ベルサール渋谷ガーデンにて私立小・中・高…
日本でTOEIC Programを実施・運営する国際ビジネスコミュニケ…
駿台予備学校は2026年4月13日、2026年度の国公立大入試状況分…
吉見鈑金製作所は2026年5月16日、長野県上田市の本社工場にて…
Language