advertisement
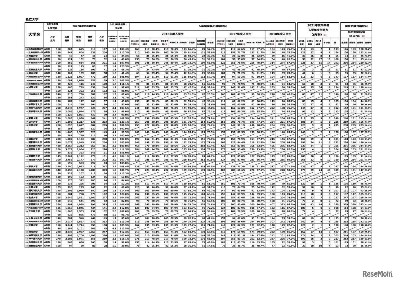
文部科学省は2023年1月23日、全国の薬学部における2022年度の修学状況および退学状況等の調査結果を発表した。2016年度入学生(2022年度卒業生)の退学率は、東北大、東京大、京都大等、国公立7大学が0%。私立大学では、福岡大3.4%がもっとも低かった。
文部科学省は2025年11月5日までに、全国の薬学部における5月1…
法務省は2025年12月3日、2026年(令和8年)の司法試験予備試…
2025年度の大学入学者の53.6%が「総合型選抜」または「学校…
関西大学は2025年12月14日、千里山キャンパスにて地域と大学…
河合塾の大学入試情報サイト「Kei-Net」は2025年12月3日、大…
私立中高一貫校生専門塾「ナレッジメイト」は2025年12月、既…
パステルコミュニケーションの発達科学コミュニケーション講…