advertisement
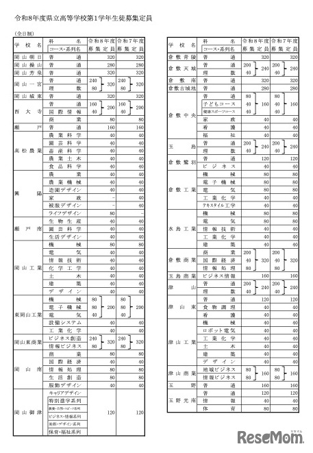
岡山県教育委員会は2025年10月20日、2026年度(令和8年度)県立高等学校募集定員を発表した。全日制の募集定員は前年度と同数の1万625人。全日制・定時制・通信制の全校で前年度から定員の変更はない。一般入学者選抜の学力検査等は2026年3月10日・11日。
愛知県教育委員会は2025年12月19日、2025年度第2回「中学校等…
岡山県教育委員会は2025年12月15日、2026年3月に中学校等を卒…
2025年の小学校入試は大きな転換期を迎えた。小学校受験にお…
11・12月に実施された茨城県・栃木県・千葉県(推薦)の中学…
学研ホールディングスの調査・研究機関である学研教育総合研…
名古屋商科大学は2026年度入学者選抜において、「一般入試前…
高校生の学習や生活習慣、大学受験の話題等、リセマムが選ぶ2…