advertisement
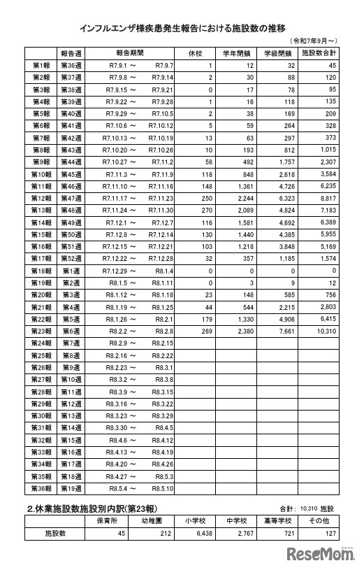
厚生労働省は2026年2月16日、2026年第6週(2月2日~8日)のインフルエンザ発生状況を発表した。定点医療機関あたりの患者報告数は全国平均43.34人。警報レベルが続いており、5週連続の増加となった。
東京都教育委員会は2026年2月17日、東京都立中等教育学校およ…
文部科学省は2026年3月6日、2026年3月高等学校卒業予定者の就…
厚生労働省は2026年3月3日から5月31日までの期間、戦傷病者史…
離婚後の子供の養育に関する民法などの改正法が、2026年4月1…
東京都交通局は3月6日、子供連れでの外出をしやすくする環境…
Language