advertisement

【高校受験2026】岡山県立高、募集定員は1万625人…前年度増減なし

 岡山県教育委員会は2025年10月20日、2026年度(令和8年度)県立高等学校募集定員を発表した。全日制の募集定員は前年度と同数の1万625人。全日制・定時制・通信制の全校で前年度から定員の変更はない。一般入学者選抜の学力検査等は2026年3月10日・11日。

教育・受験 中学生
令和8年度県立高等学校第1学年生徒募集定員
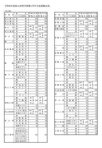
  • 令和8年度県立高等学校第1学年生徒募集定員
  • 令和8年度県立高等学校第1学年生徒募集定員

 岡山県教育委員会は2025年10月20日、2026年度(令和8年度)県立高等学校募集定員を発表した。全日制の募集定員は前年度と同数の1万625人。全日制・定時制・通信制の全校で前年度から定員の変更はない。一般入学者選抜の学力検査等は2026年3月10日・11日。

 岡山県の2026年3月の県内中学校卒業見込者数は、2025年3月の卒業見込者数1万6,650人から微増となる見込み。岡山県教育委員会では、来春の中学校卒業見込者の進学希望状況などを踏まえ、2026年度県立高等学校募集定員を前年度同数の1万1,405人とした。内、全日制は1万625人、定時制は160人、通信制は500人、専攻科は120人。いずれも前年度からの増減はない。

 おもな学校・学科の募集定員は、岡山朝日(普通)320人、岡山操山(普通)280人、岡山芳泉(普通)320人、岡山城東(普通)320人、倉敷青陵(普通)320人など。岡山一宮は(普通)240人、(理数)80人をくくり募集とする。学校・学科でみても前年度からの定員の変動はなかった。

 2026年度の岡山県立高等学校入学者選抜における特別入学者選抜は、出願期間が2026年1月20日から22日、学力検査を2月4日、面接および選択実施の検査は2月4日・5日(いずれか1日の場合あり)に行い、結果は2月13日に通知する。

 一般入学者選抜の出願期間は2月24日から26日、学力検査は3月10日、面接・実技は3月11日、追検査は3月18日に実施する。合格者発表は特別入学者選抜・一般入学者選抜ともに3月18日。

《畑山望》

【注目の記事】

特集

編集部おすすめの記事

特集

page top