advertisement
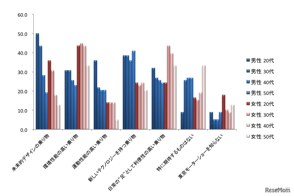
ヤマハ発動機「TRICITY(トリシティ)」のファンサイト「LMW部」の調査によると、乗り物に期待することや乗り物に対して未来を感じる要素などについて男女間で違いがあることがわかった。女性は機能やデザイン面よりも、環境性能の高さなどを重要視する傾向にあるようだ。
関西大学は2025年11月26日 同大の総合情報学部 瀬島吉裕教授…
NEXCO東日本・中日本・西日本とJB本四高速、日本道路交通情報…
with tが運営する「女子高生ラボ」は2025年12月1日、全国の現…
JSコーポレーションが毎月公表している「大学人気ランキング…
WWFジャパンは2025年12月13日と2026年1月24日、中学2年生から…
産業能率大学は2025年11月14日、大学受験生が直面する経済的…
講談社は2025年11月28日、人気の「動く図鑑MOVE」シリーズか…
群馬サファリパークは、2025年11月中旬から2026年3月ごろまで…
第73回全日本吹奏楽コンクール、大学の部から金賞に選ばれた…