advertisement
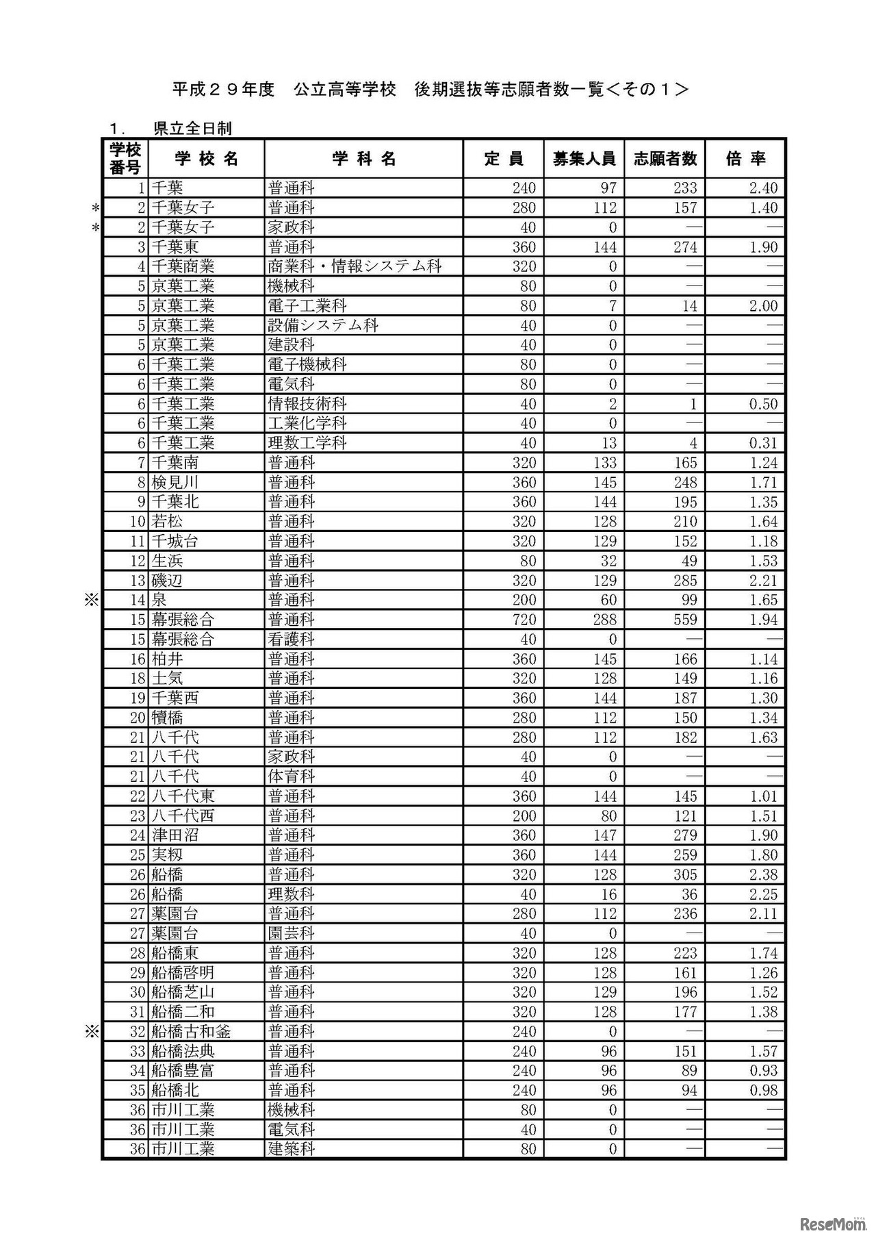
千葉県教育庁は平成29年2月23日、平成29年度(2017年度)千葉県公立高等学校「後期選抜」などの志願者数について発表した。後期選抜全日制課程は、募集定員11,574人に対し16,623人が志願し。志願倍率は1.44倍となった。
平成29年度(2017年度)新潟県立高等学校一般入学者選抜学力…
コープみらい社会活動財団は2026年1月12日より、2026年度「コ…
山梨県教育委員会は2026年1月6日、2025年度(令和7年度)中学…
厚生労働省は2026年1月13日、2026年第1週(2025年12月29日~2…
千葉県教育委員会は2025年12月17日、2026年度(令和8年度)千…
東京私立中学高等学校協会は2026年1月8日、「受験生の皆さま…
中高一貫校専門の個別指導塾WAYSは、2026年1月16日午後8時よ…
千葉県は2025年12月22日、2026年度(令和8年度)千葉県私立学…