advertisement

【高校受験2017】千葉県公立高入試(後期)志願状況・倍率(2/23時点)最高は市立千葉(理数)3.50倍 3枚目の写真・画像

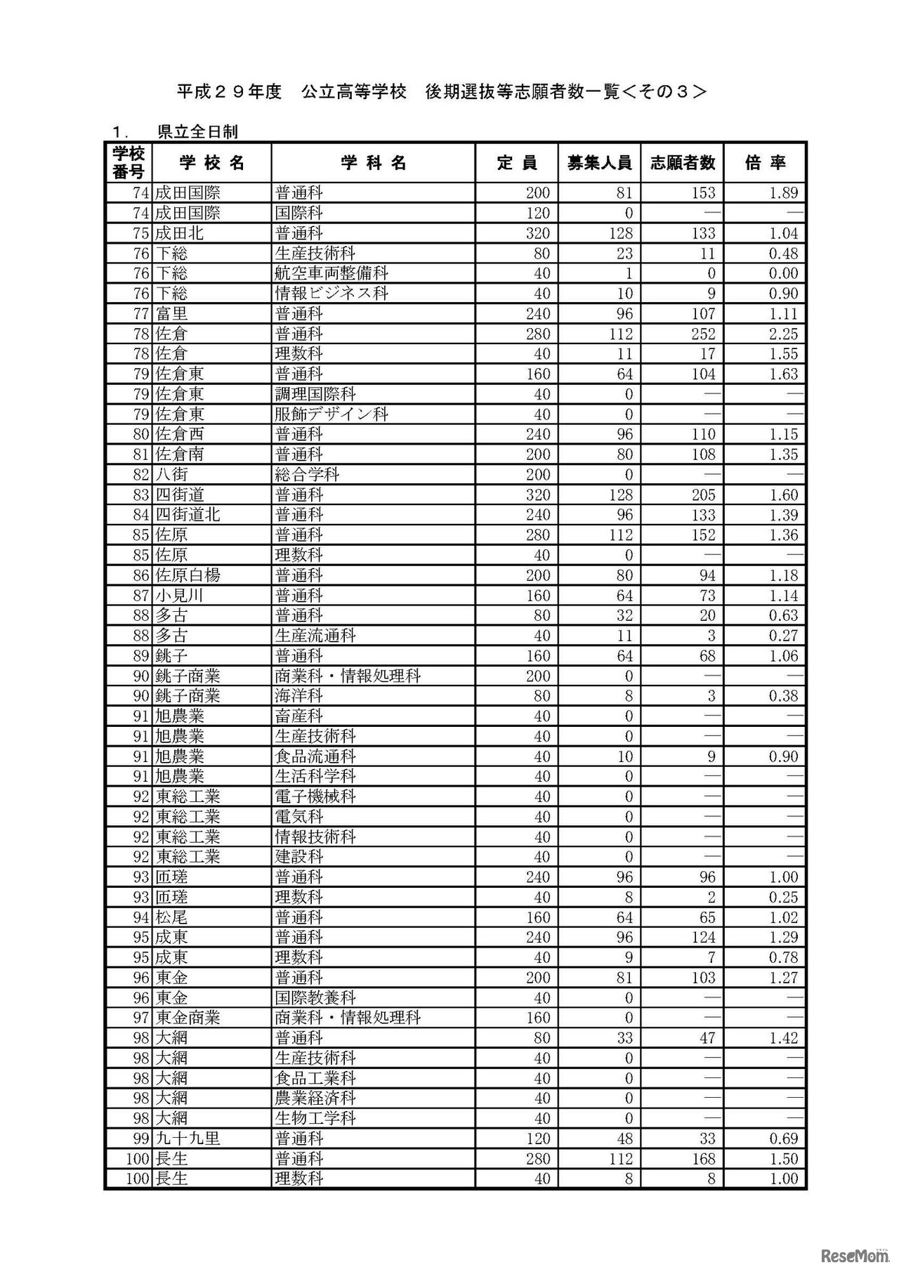
 千葉県教育庁は平成29年2月23日、平成29年度(2017年度)千葉県公立高等学校「後期選抜」などの志願者数について発表した。後期選抜全日制課程は、募集定員11,574人に対し16,623人が志願し。志願倍率は1.44倍となった。

教育・受験 中学生
平成29年度千葉県公立高等学校「後期選抜」、「地域連携アクティブスクールの二期入学者選抜」および「通信制の課程の二期入学者選抜」の入学志願者数について(2017年2月23日)
平成29年度千葉県公立高等学校「後期選抜」、「地域連携アクティブスクールの二期入学者選抜」および「通信制の課程の二期入学者選抜」の入学志願者数について(2017年2月23日)

編集部おすすめの記事

特集

page top