advertisement
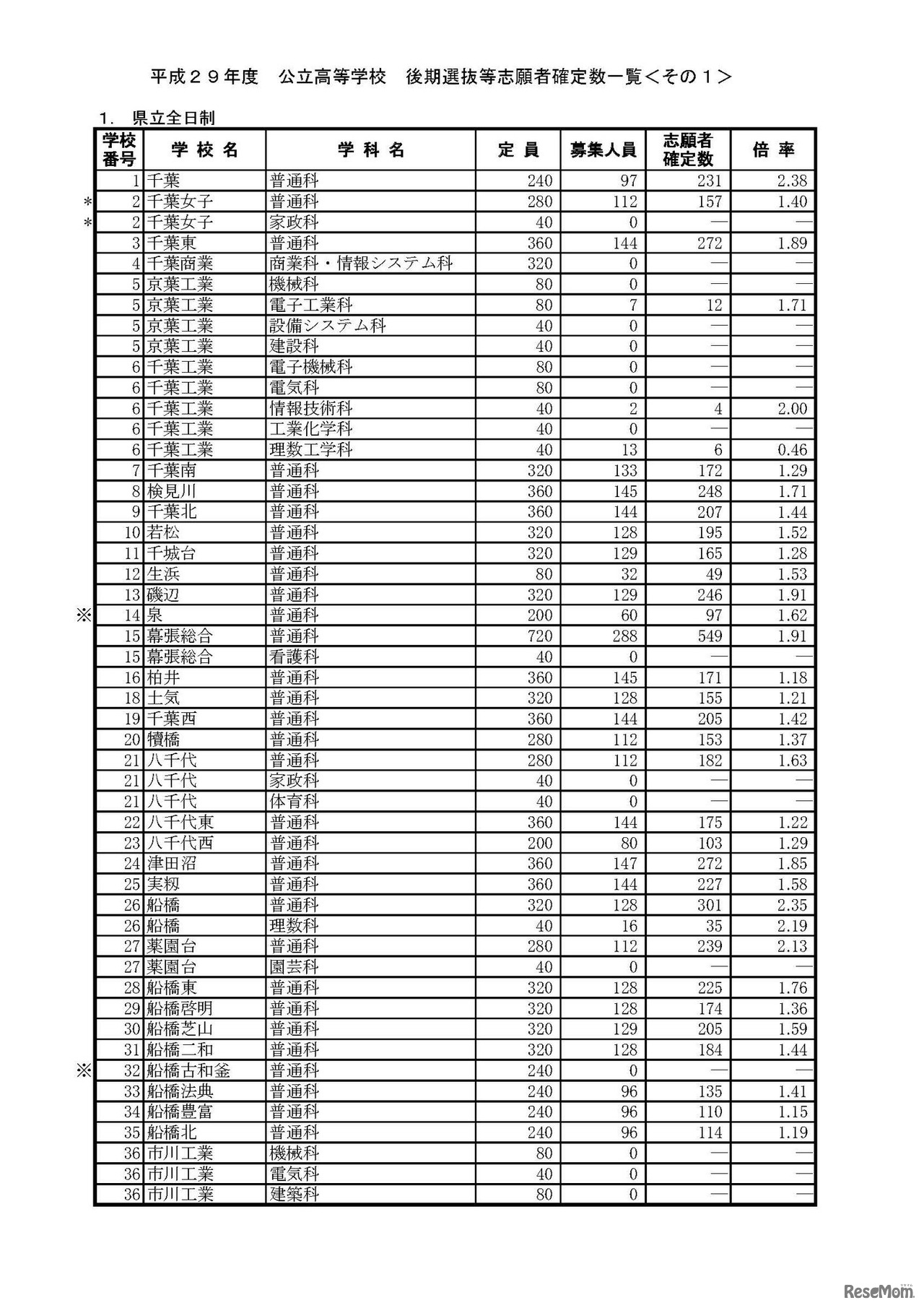
千葉県教育委員会は平成29年2月27日、平成29年度(2017年度)千葉県公立高等学校「後期選抜」、「地域連携アクティブスクールの二期入学者選抜」および「通信制の課程の二期入学者選抜」の志願変更等の状況について、志願変更受付後の確定志願状況を公開した。
平成29年度(2017年度)新潟県立高等学校一般入学者選抜学力…
ChatGPTなど生成AIが社会を変える今、子供に必要な力とは? …
熊本県教育委員会は2025年12月11日、2026年度(令和8年度)熊…
郁文館夢学園 郁文館高等学校は2026年2月14日、都立進学指導…
厚生労働省は2025年12月12日、第49週(12月1日~7日)のイン…
千葉県教育委員会は2025年12月6日、2026年度(令和8年度)県…
東進のWebサイト「東進ドットコム」は、2026年度入試対応の最…
嘉悦大学は2025年12月12日の「漢字の日」を前に、若い世代の…
千葉県教育委員会は2025年11月7日、2025年度(令和7年度)第2…