advertisement
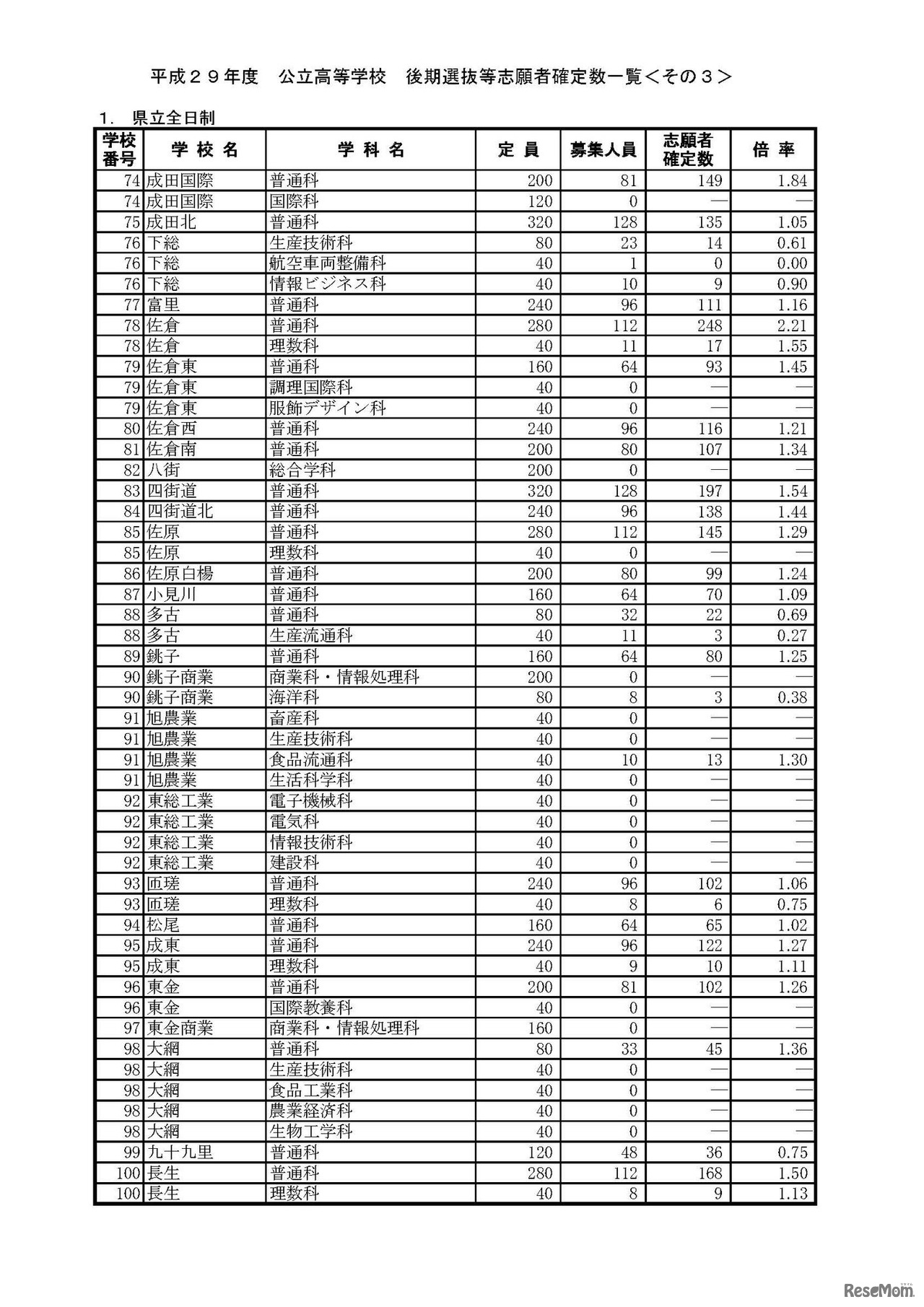
千葉県教育委員会は平成29年2月27日、平成29年度(2017年度)千葉県公立高等学校「後期選抜」、「地域連携アクティブスクールの二期入学者選抜」および「通信制の課程の二期入学者選抜」の志願変更等の状況について、志願変更受付後の確定志願状況を公開した。
平成29年度(2017年度)新潟県立高等学校一般入学者選抜学力…
ChatGPTなど生成AIが社会を変える今、子供に必要な力とは? …
栃木県教育委員会は2025年12月8日、2026年度県立中学校入学者…
河合塾グループの河合塾学園(本部:愛知県名古屋市、理事長…
日本気象協会は2025年12月7日、気象予報士120名の調査をもと…
千葉県教育委員会は2025年12月6日、2026年度(令和8年度)県…
長野県佐久市にある「さやか星小学校」は、2026年度の新入学…
今注目の私立中学校の入試問題を解説しながら、その出題意図…
千葉県教育委員会は2025年11月7日、2025年度(令和7年度)第2…