advertisement
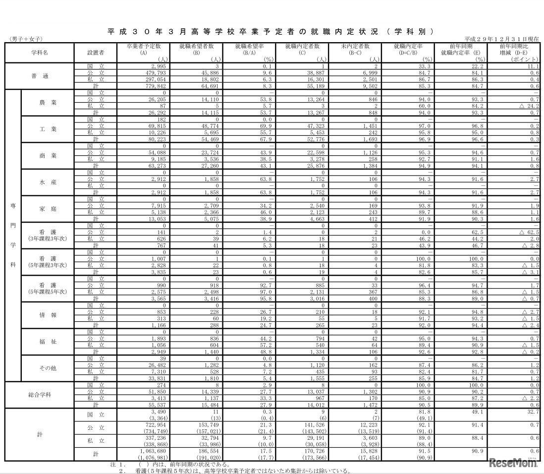
文部科学省は平成30年2月16日、平成30年3月高等学校卒業予定者の就職内定状況を発表した。平成29年12月末時点の就職内定率は91.5%で、8年連続して前年同期を上回った。内定率がもっとも高い県は、「富山県」98.2%だった。
旺文社教育情報センターは2026年4月8日、全国の大学を対象に…
文部科学省と厚生労働省は2026年3月17日、2025年度(令和7年…
大学通信は2026年3月、大学合格者の高校別ランキングを公表し…
文部科学省は2026年4月13日から19日の期間、「第67回科学技術…
自治医科大学は2026年3月27日、医学部の入学試験について、20…
アーシャルデザインは2026年4月8日、部活動地域展開支援事業…
東京地区私立大学教職員組合連合(東京私大教連)は2026年4月…
Language