advertisement

H35年度の都内公立小中学生数…小学校は約2.4万人、中学校は約1.5万人増の予測 4枚目の写真・画像

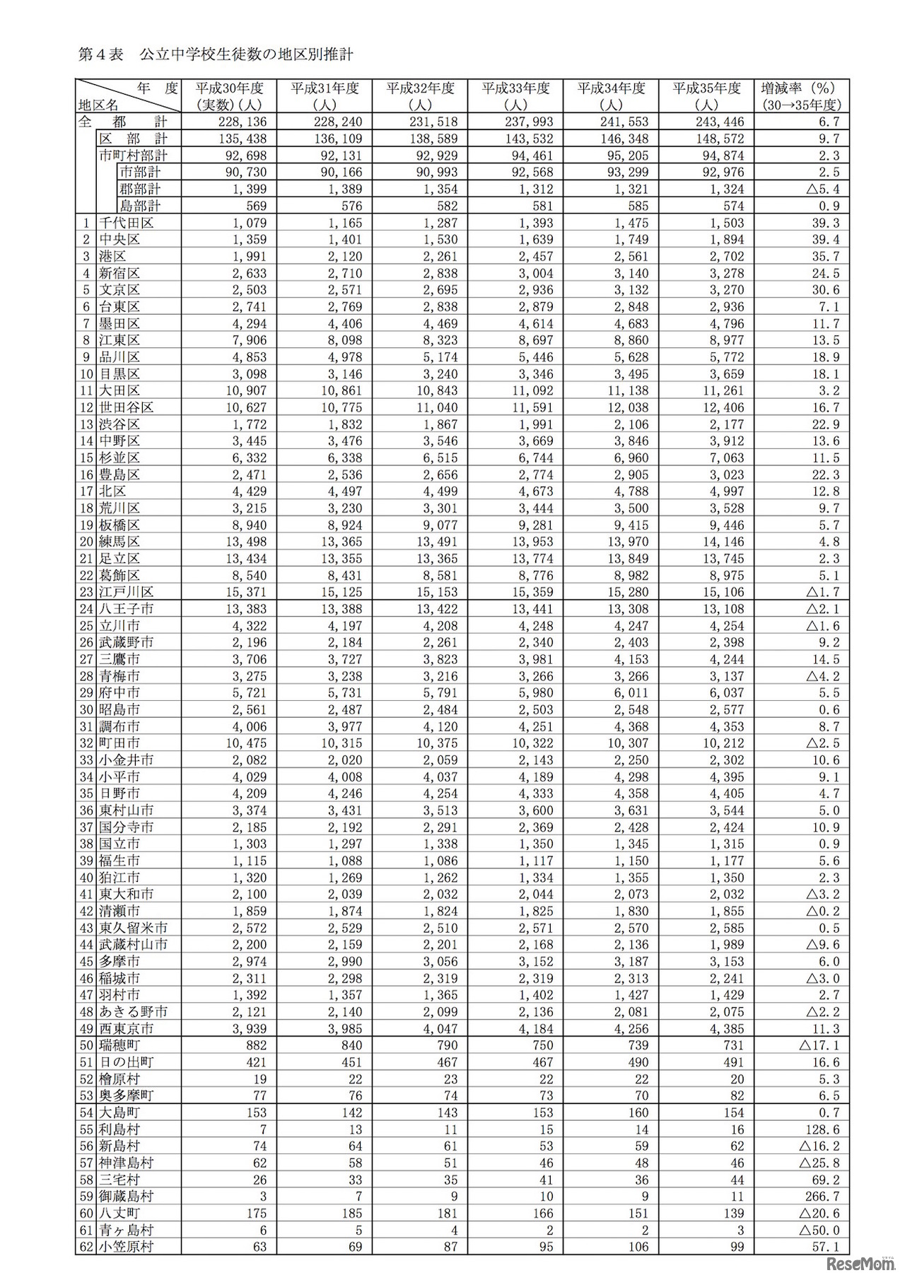
 東京都教育委員会は2018年9月13日、平成30年度(2018年度)教育人口等推計(速報値)の概要を公表した。東京都の平成35年度児童・生徒数は平成30年度実数より増加し、公立小学校が4.16%増の60万9,053人、公立中学校が6.71%増の24万3,446人になると見込まれる。

教育業界ニュース その他
東京都「平成30年度教育人口等推計(速報値)」公立中学校生徒数の地区別推計
画像出典:東京都教育委員会「平成30年度教育人口等推計(速報値)の概要について(東京都公立小学校児童数・公立中学校生徒数の推計)」 東京都「平成30年度教育人口等推計(速報値)」公立中学校生徒数の地区別推計

編集部おすすめの記事

特集

page top