advertisement
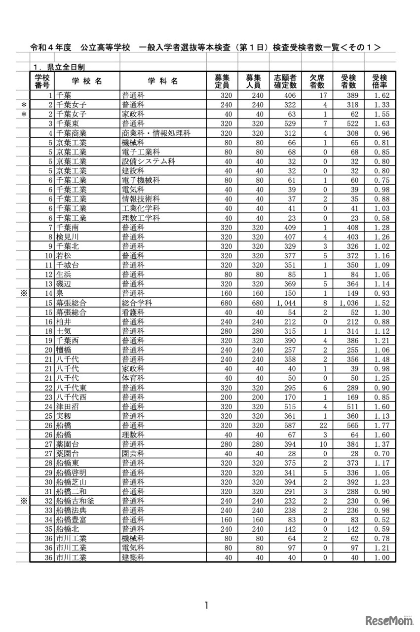
千葉県教育委員会は2022年2月24日、同日に実施された2022年度千葉県公立高等学校「一般入学者選抜等」の本検査(第1日)の受検状況を発表した。全日制の課程は前年度より973人増の3万4,291人、定時制の課程は786人が受検した。全日制の課程の受検倍率は1.09倍。
【高校受験2022】青森県公立高校入試<社会>問題・正答
新しい教育を担う私学の会は2026年5月24日、首都圏の私立67校…
大学通信は2026年3月より順次、大学合格者の高校別ランキング…
奈良県教育委員会は2026年5月1日、2027年度(令和9年度)奈良…
千葉県は2026年5月11日、2025年度青少年ネット被害防止対策事…
秋田県教育委員会は、大学生らを対象とした「2026年度(令和8…
中国本土、日本、香港、台湾の4地域の高校生が相互理解・尊重…
Language