advertisement
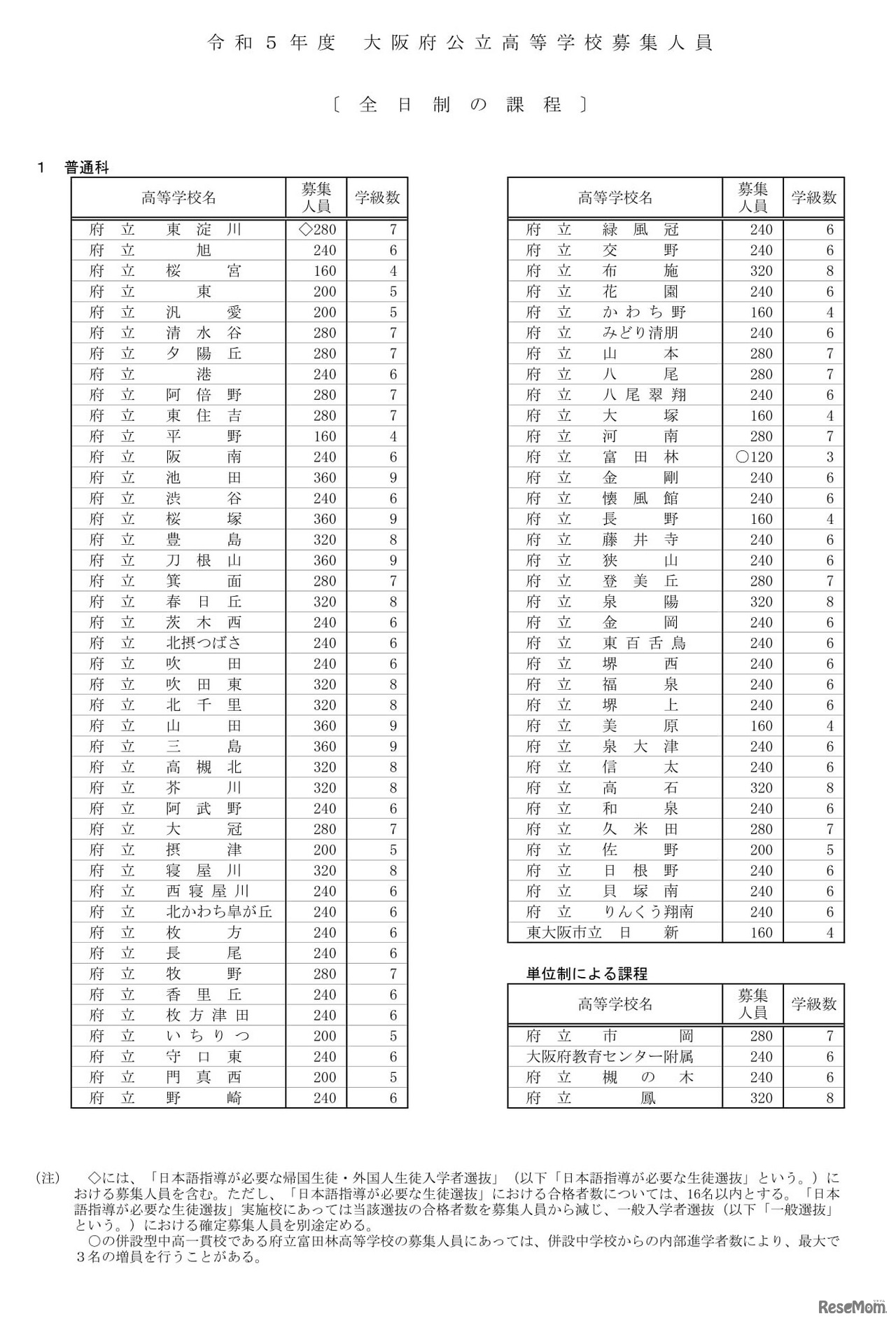
大阪府教育委員会は2022年11月8日、2023年度(令和5年度)大阪府公立高校の募集人員を発表した。昼間の高校の募集人員は、前年度(2022年度)比340人減の3万7,655人。島本・泉鳥取等8校で学級減となる。
岡山県教育委員会は2026年1月9日、2027(令和9)年度県立中学…
2024年3月7日(木)、2024年度(令和6年度)京都府公立高等学…
「駿台・ベネッセ データネット」は2026年1月19日、大学入学…
LINEヤフーは2026年1月8日、全国の中高生を対象に実施した「…
大学入試センターは、2026年度(令和8年度)大学入学共通テス…
キッザニア東京は東京都と連携し、性別に関する無意識の思い…
日本郵便は2026年1月19日、2026年(令和8年)用お年玉付き年…