advertisement
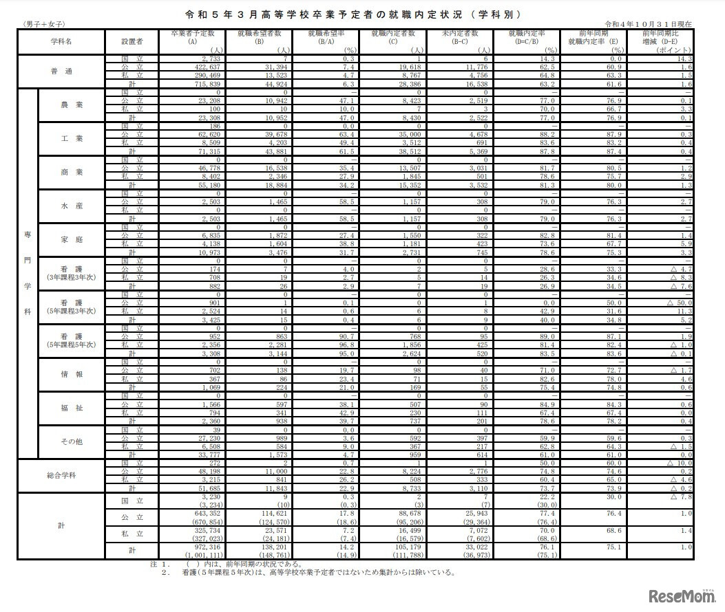
文部科学省は、2023年3月高等学校卒業予定者の就職内定状況(2022年10月末現在)を発表した。就職内定率は前年同期比1.0ポイント増の76.1%。都道府県別では富山県、学科別では「工業」に関する学科がもっとも内定率が高い。
マイナビは、2027年3月卒業予定の大学生・大学院生を対象に実…
与信管理クラウドサービスを提供するリスクモンスターは、第1…
立命館大学は2026年5月17日、大阪いばらきキャンパスにて、地…
文部科学省は2026年4月20日、大使館推薦による2027年度「国費…
博報堂教育財団こども研究所は2026年4月16日、小学4年生~中…
学校と出合える全国の有名私立学校合同進学相談会「学校を知…
Language