advertisement

【高校受験2023】岐阜県公立高、第1次選抜の出願状況(2/16時点)岐阜1.12倍 3枚目の写真・画像

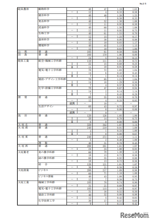
 岐阜県教育委員会は2023年2月16日、2023年度(令和5年度)岐阜県公立高等学校入学者選抜における第1次・連携型選抜募集出願状況(志願変更前)を発表した。全日制課程は募集定員1万3,121人に対し、1万2,866人が出願し、出願倍率は0.98倍となった。

教育・受験 中学生
2023年度 岐阜県公立高等学校 第一次・連携型選抜 変更前出願者数
画像出典:岐阜県教育委員会 2023年度 岐阜県公立高等学校 第一次・連携型選抜 変更前出願者数

編集部おすすめの記事

特集

page top