advertisement
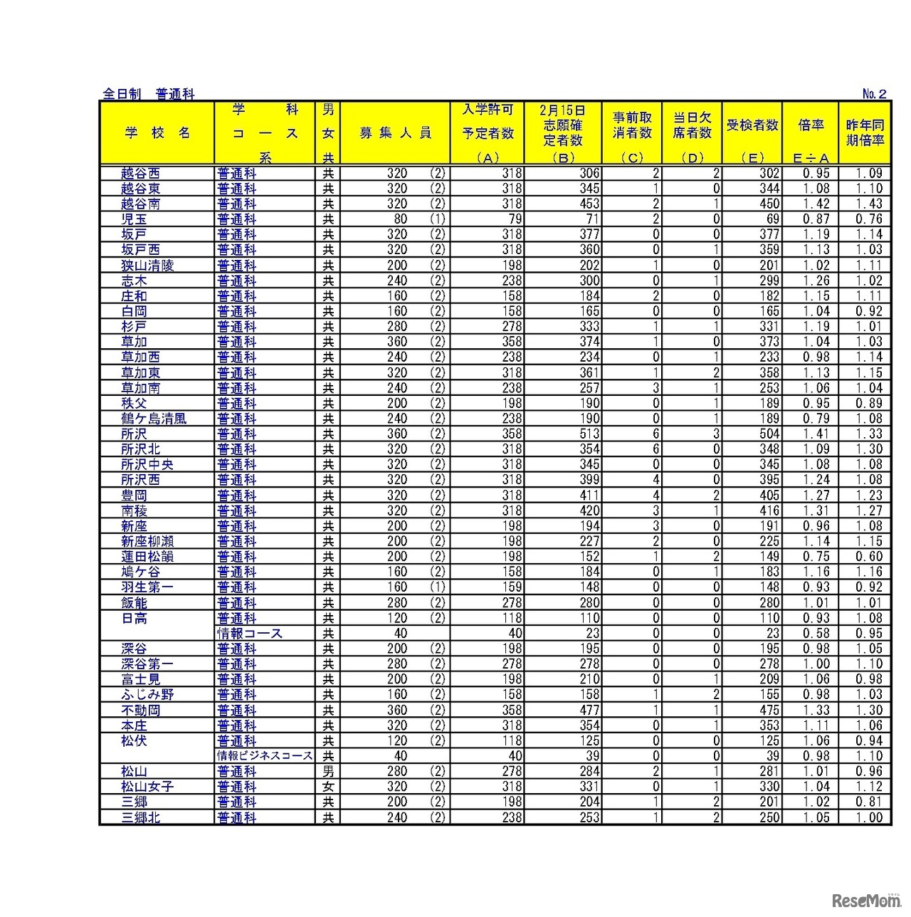
埼玉県教育委員会は2024年2月21日、同日実施された2024年度(令和6年度)埼玉県公立高等学校における学力検査受検状況を発表した。学校別の受検倍率は、大宮(理数)2.13倍、県立浦和(普通)1.27倍など。
日本私立学校振興・共済事業団は、2024年度の私立高等学校入…
埼玉県教育委員会は、2026年度埼玉県公立高等学校入学者選抜…
森ビルが運営する六本木ヒルズ展望台 東京シティビューは、人…
代々木ゼミナールは2026年4月4日、2026年度の私立大学一般入…
川野小児医学奨学財団は、小児医学を志す医学生および小児医…
2026年春に文化祭や運動会を実施する、首都圏と関西の難関私…
Language