advertisement

【中学受験2025】千葉県1月入試の出願状況(1/10時点・確定)渋幕9.64倍 2枚目の写真・画像

 四谷大塚は2025年1月実施の千葉県内の中学入試について、2025年1月10日に出願を締め切った千葉最難関の渋谷幕張・1次入試の出願状況を速報で公表した。出願者数は前年度より138人少ない2,072人。出願数の前年度比は94%となった。

教育・受験 小学生
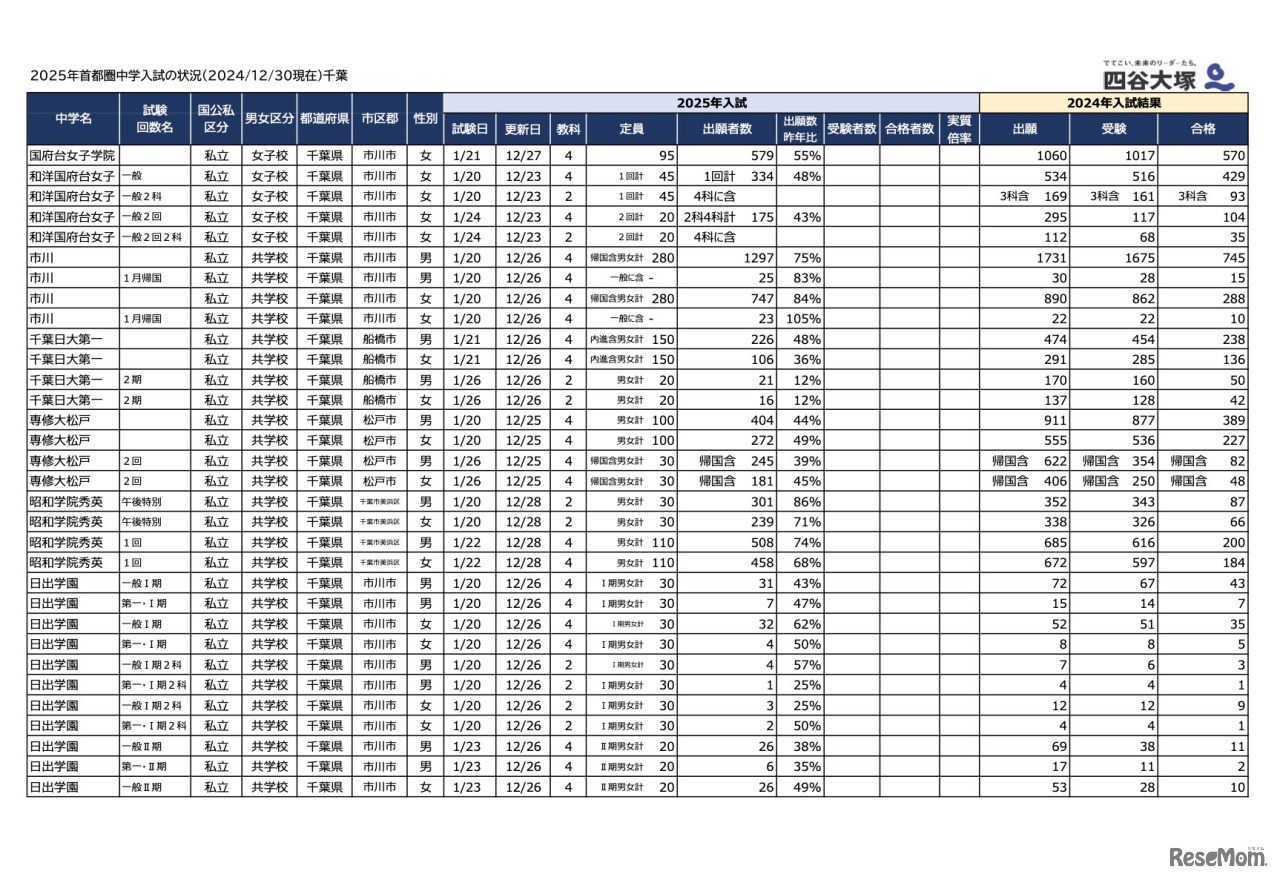
2025年首都圏中学入試の状況(2024/12/30現在)千葉
画像出典:四谷大塚 2025年首都圏中学入試の状況(2024/12/30現在)千葉

編集部おすすめの記事

特集

page top