advertisement
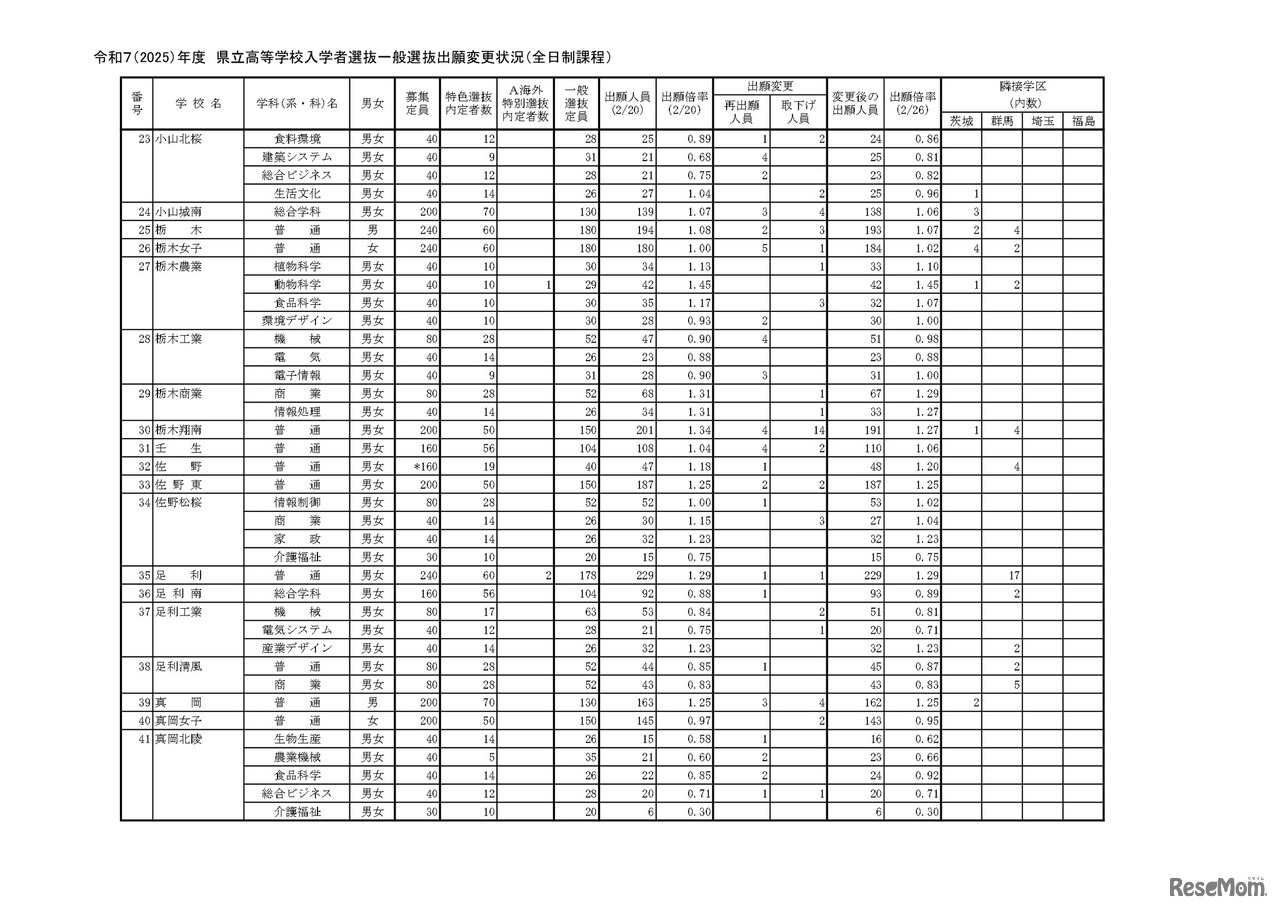
栃木県教育委員会は2025年2月26日、令和7年度(2025年度)栃木県立高校入試の一般選抜出願状況(出願変更後)を発表した。全日制における出願状況は、一般選抜定員7,486人に対し、出願者は8,330人、出願倍率は1.11倍だった。
東京都教育委員会は2025年9月26日、2025年度(令和7年度)第2…
栃木県立高等学校の一般選抜が2026年3月5日に行われる。とち…
岐阜県教育委員会は2026年4月10日、2027年度(令和9年度)岐…
大阪府教育委員会は2026年4月9日、2027年度(令和9年度)大阪…
自治医科大学は2026年3月27日、医学部の入学試験について、20…
スプリックス教育財団は2026年4月8日、「基礎学力と学習の意…
Language