advertisement

【高校受験2026】千葉県公立高入試、1日目は3万1,537人が受検 1枚目の写真・画像

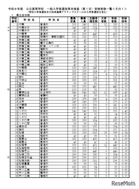
 千葉県教育委員会は2026年2月17日、同日行われた2026年度(令和8年度)千葉県公立高等学校の一般入学者選抜等の受検状況を発表した。全日制の課程は3万1,537人が受検し、受検倍率は1.09倍となった。

教育・受験 中学生
令和8年度公立高等学校一般入学者選抜等本検査(第1日)受検者数一覧
画像出典:千葉県教育委員会 令和8年度公立高等学校一般入学者選抜等本検査(第1日)受検者数一覧

編集部おすすめの記事

特集

page top