advertisement

【高校受験2026】千葉県公立高、一般選抜の志願状況(2/5時点)県立船橋(理数)2.23倍

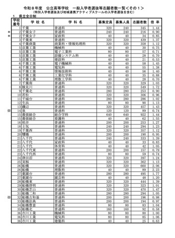
 千葉県教育委員会は2026年2月5日、2026年度(令和8年度)千葉県公立高等学校入学者選抜について、一般入学者選抜等の志願状況(志願変更前)を発表した。志願倍率は、全日制の課程が1.11倍、定時制の課程が0.66倍だった。

教育・受験 中学生
県立全日制
  • 県立全日制
  • 県立全日制
  • 県立全日制
  • 県立全日制
  • 市立全日制
  • 県立定時制

 千葉県教育委員会は2026年2月5日、2026年度(令和8年度)千葉県公立高等学校入学者選抜について、一般入学者選抜等の志願状況(志願変更前)を発表した。志願倍率は、全日制の課程が1.11倍、定時制の課程が0.66倍だった。

 2026年度千葉県公立高等学校の一般入学者選抜、特別入学者選抜、地域連携アクティブスクールの入学者選抜、通信制の課程の一期入学者選抜は、1月13日から2月2日まで志願者情報のWeb登録を、2月3日から5日正午まで出願書類の提出を受付。千葉県教育委員会は出願締切後、即日2月5日時点の志願状況を公表した。

 一般入学者選抜は、全日制課程124校199学科、定時制課程16校16学科で実施。全日制は募集人員2万8,880人に対し3万2,135人が志願し、志願倍率は1.11倍(前年度比0.03ポイント減)。定時制は募集人員1,237人に対し820人が志願し、志願倍率は0.66倍(同0.09ポイント増)だった。


 志願倍率がもっとも高かったのは、全日制が船橋(理数)2.23倍、定時制が松戸南(普通・午後部)1.42倍。このほか、全日制で志願倍率が高かったのは、東葛飾(普通)1.93倍、小金(総合)1.89倍、薬園台(普通)1.77倍、市立千葉(理数)1.75倍、検見川(普通)1.72倍、市立船橋(商業)1.59倍、市立千葉(普通)1.57倍、幕張総合(看護)1.55倍など。

 進学指導重点校の志願倍率は、千葉東(普通)1.37倍、船橋(普通)2.06倍、船橋(理数)2.23倍、柏(普通)1.18倍、柏(理数)1.35倍、佐倉(普通)1.51倍、佐倉(理数)1.68倍、佐原(普通)0.92倍、佐原(理数)0.55倍、匝瑳(総合)0.85倍、成東(普通・理数)0.99倍、長生(普通・理数)1.24倍、安房(普通)0.91倍、木更津(普通)1.39倍、木更津(理数)1.38倍。

 一般入学者選抜は今後、2月10日と12日午後4時まで志願または希望の変更を受け付ける。学力検査は2月17日と18日、追検査は2月26日に実施し、合格発表は3月3日に行われる。

《畑山望》

【注目の記事】

特集

編集部おすすめの記事

特集

page top