advertisement

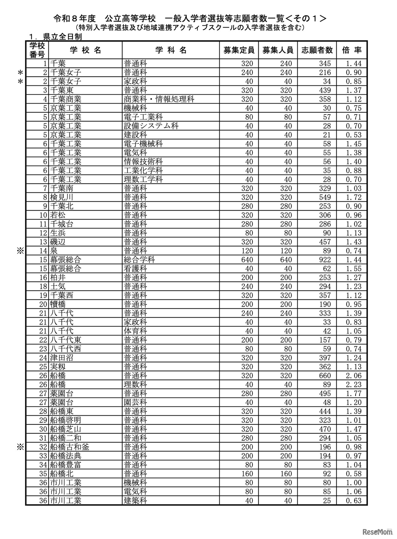
【高校受験2026】千葉県公立高、一般選抜の志願状況(2/5時点)県立船橋(理数)2.23倍 1枚目の写真・画像

 千葉県教育委員会は2026年2月5日、2026年度(令和8年度)千葉県公立高等学校入学者選抜について、一般入学者選抜等の志願状況(志願変更前)を発表した。志願倍率は、全日制の課程が1.11倍、定時制の課程が0.66倍だった。

教育・受験 中学生
県立全日制
画像出典:千葉県教育委員会「令和8年度公立高等学校 一般入学者選抜等志願者数一覧」 県立全日制

編集部おすすめの記事

特集

page top