advertisement
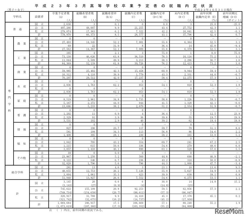
文部科学省は12月14日、平成23年3月高等学校卒業予定者で就職を希望する者の内定状況(平成22年10月末現在)に関する調査の結果を取りまとめ、公表した。
文化放送キャリアパートナーズは、2027年卒業予定の学生を対…
キャリタスは、2027年卒業予定の学生を対象とした「キャリタ…
文部科学省は2026年4月20日、大使館推薦による2027年度「国費…
東京大学メタバース工学部が主催する中高生向けオンライン講…
KCJ GROUPは2026年6月1日から8月31日まで、キッザニア東京で…
埼玉県教育委員会は2026年4月21日、2026年度(令和8年度)埼…
海外子女教育振興財団(JOES)は2026年5月24日、スポーツマネ…
Language