advertisement
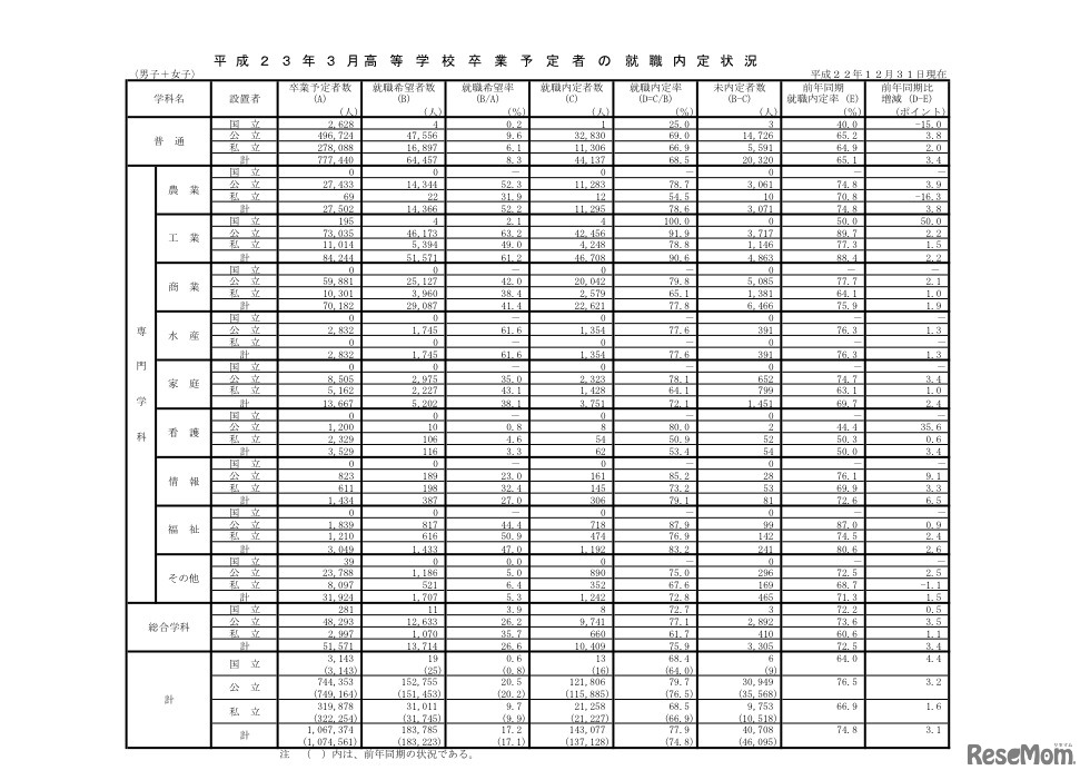
文部科学省は2月15日、平成23年3月高等学校卒業予定者の就職内定状況(平成22年12月末現在)に関する調査について公表した。
旺文社教育情報センターは、旺文社刊行の「大学の真の実力 情…
キユーピーは、子供が主体的に取り組む調理体験が子供の唾液…
高校生の学習や生活習慣、大学受験の話題等、リセマムが選ぶ2…
併願大学に納付する入学金の「二重払い」について、2026年度…
愛知県教育委員会は2025年12月19日、2025年度第2回「中学校等…
鎌倉女子大学短期大学部初等教育学科は2026年4月から、授業の…
小学生の学習や生活習慣、中学受験の話題等、リセマムが選ぶ2…
中学生の学習や生活習慣、高校受験の話題等、リセマムが選ぶ2…
関東学生陸上競技連盟は2025年12月25日、主催する東京箱根間…