advertisement
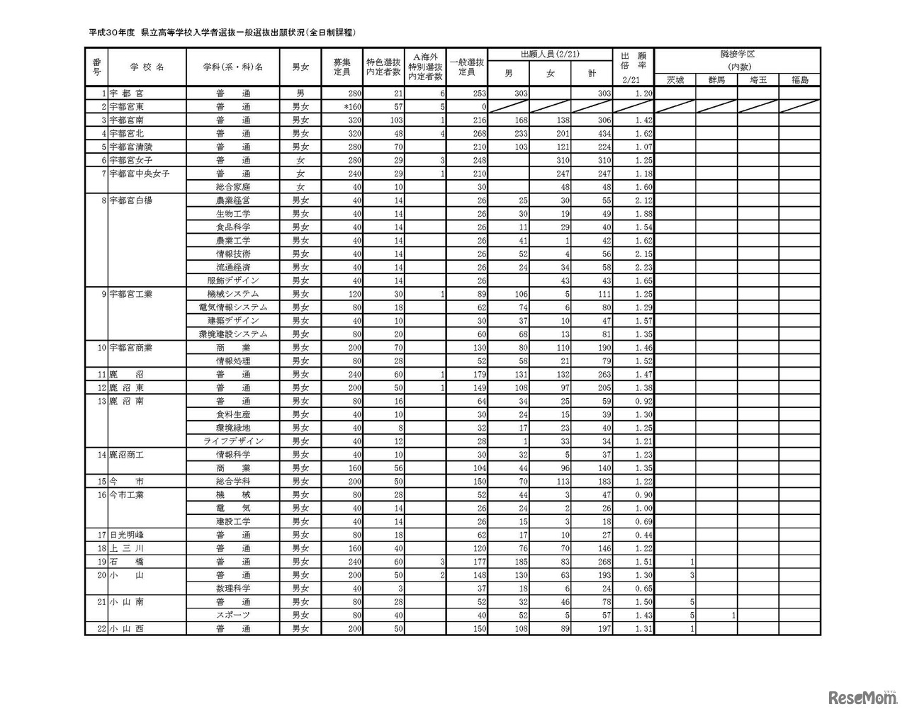
栃木県教育委員会は平成30年2月21日、平成30年度(2018年度)県立高校入試の一般選抜出願状況を発表した。出願変更前の全日制の出願状況は、一般選抜定員8,566人に対し、出願者は10,325人、出願倍率は1.21倍だった。
「イード・アワード2018 塾 中学生/個別指導の部」でやる気…
11・12月に実施された茨城県・栃木県・千葉県(推薦)の中学…
Mirai.αは2026年1月8日、小中学生の不登校の子をもつ親の6割…
山梨県教育委員会は、2026年1月5日から開始となった2026年度…
文部科学省は、私立大学等の2025年度(令和7年度)入学者に係…
山梨県教育委員会は2026年1月6日、2025年度(令和7年度)中学…
栃木県総合教育センターは2025年11月6日、2025年度(令和7年…