advertisement

【高校受験2018】岐阜県公立高入試、一次選抜の出願状況・倍率(2/22時点)大垣北(普通)1.28倍、岐阜(普通)1.11倍など 5枚目の写真・画像

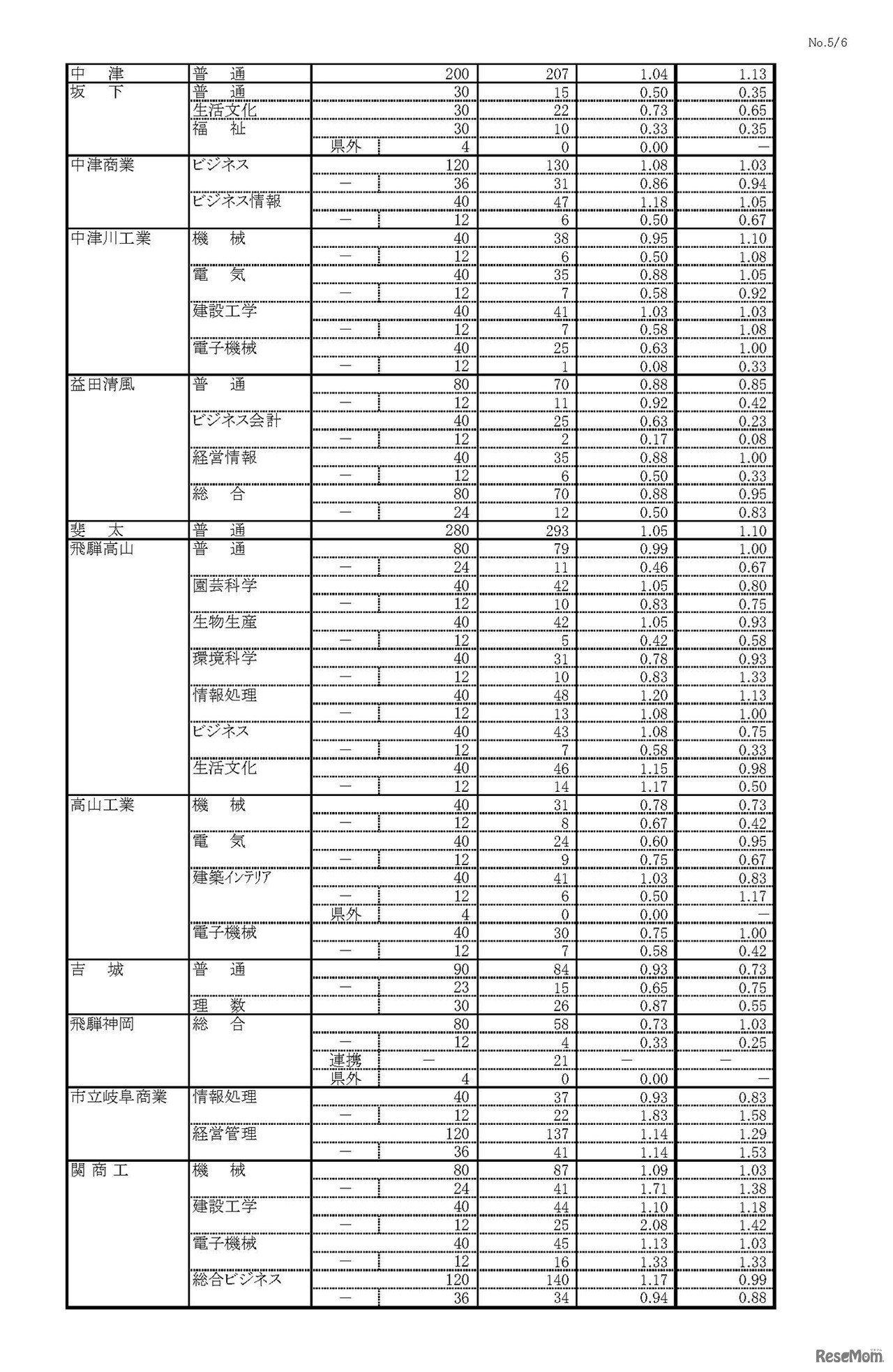
 岐阜県は平成30年2月22日、平成30年度(2018年度)岐阜県公立高等学校入学者選抜のうち、第一次選抜・連携型選抜出願数や倍率を発表した。全日制課程では、定員14,450人のところ、15,099人が出願し、変更前の倍率は1.04倍となった。

教育・受験 中学生
平成30年度 岐阜県公立高等学校 第一次・連携型選抜 変更前出願者数
画像出典:岐阜県 第一次選抜・連携型選抜出願者数総括表(2/22) 平成30年度 岐阜県公立高等学校 第一次・連携型選抜 変更前出願者数

編集部おすすめの記事

特集

page top