advertisement
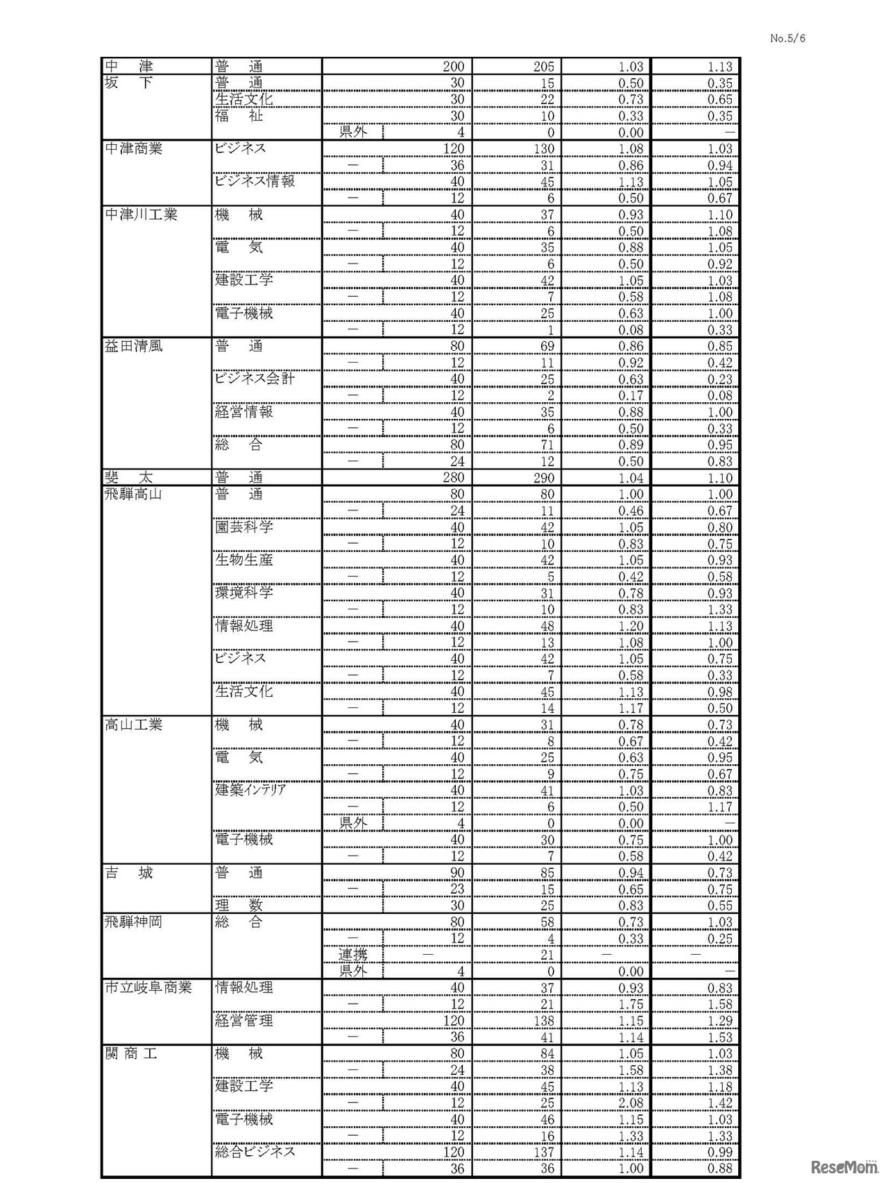
岐阜県は平成30年2月28日、平成30年度(2018年度)岐阜県公立高等学校入学者選抜のうち、第一次選抜・連携型選抜変更後の確定出願者数や倍率を発表した。第一次選抜募集定員14,450人のところ、14,984人が出願し、最終倍率は出願変更受付前と変わらず1.04倍だった。
「イード・アワード2018 塾 中学生/個別指導の部」でやる気…
トヨタ白川郷自然學校は、地域課題や社会課題の解決に取り組…
気象庁は2026年5月29日から、自治体が発令する警戒レベルと連…
大分県教育委員会は2026年5月22日、2027年度(令和9年度)大…
人事院は2026年5月22日、4月12日に実施した国家公務員採用総…
大学通信は2026年3月より順次、大学合格者の高校別ランキング…
東京都は2026年5月22日、都庁の仕事が体験できる「都庁インタ…
岐阜県教育委員会は2026年4月10日、2027年度(令和9年度)岐…
Language