advertisement

【高校受験2018】岐阜県公立高入試、第一次選抜の出願状況・倍率(確定)岐阜(普通)1.10倍など 3枚目の写真・画像

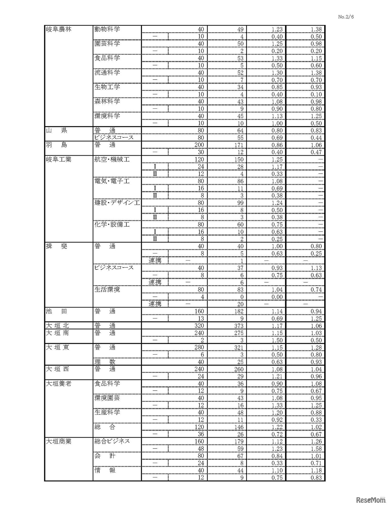
 岐阜県は平成30年2月28日、平成30年度(2018年度)岐阜県公立高等学校入学者選抜のうち、第一次選抜・連携型選抜変更後の確定出願者数や倍率を発表した。第一次選抜募集定員14,450人のところ、14,984人が出願し、最終倍率は出願変更受付前と変わらず1.04倍だった。

教育・受験 中学生
平成30年度 岐阜県公立高等学校 第一次・連携型選抜 変更後出願者数
画像出典:岐阜県 平成30年度 岐阜県公立高等学校 第一次・連携型選抜 変更後出願者数(平成30年2月28日正午締切時) 平成30年度 岐阜県公立高等学校 第一次・連携型選抜 変更後出願者数

編集部おすすめの記事

特集

page top