advertisement

【高校受験2021】千葉県公立高、一般選抜の志願状況(2/17時点)県立船橋(普通)1.78倍 1枚目の写真・画像

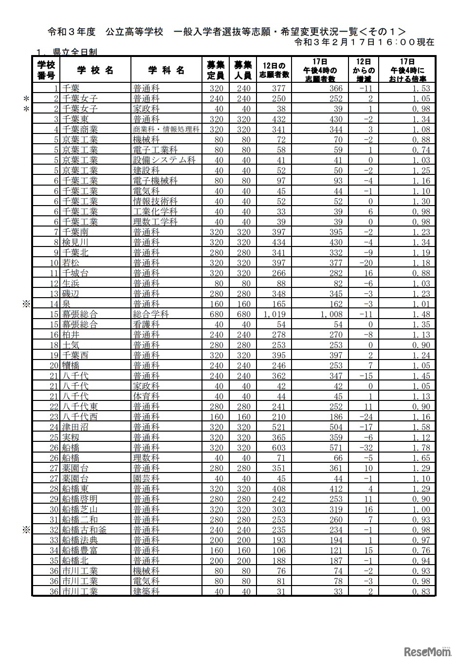
 千葉県教育委員会は2021年2月17日、令和3年度(2021年度)千葉県公立高等学校入学者選抜について、一般入学者選抜などの志願状況を発表した。志願変更受付1日目の2月17日午後4時現在、志願倍率は全日制の課程が1.08倍、定時制の課程が0.57倍だった。

教育・受験 中学生
令和3年度公立高等学校一般入学者選抜等志願・希望変更状況一覧(県立全日制/2021年2月17日16時現在)
画像出典:千葉県教育委員会 令和3年度公立高等学校一般入学者選抜等志願・希望変更状況一覧(県立全日制/2021年2月17日16時現在)

編集部おすすめの記事

特集

page top