advertisement
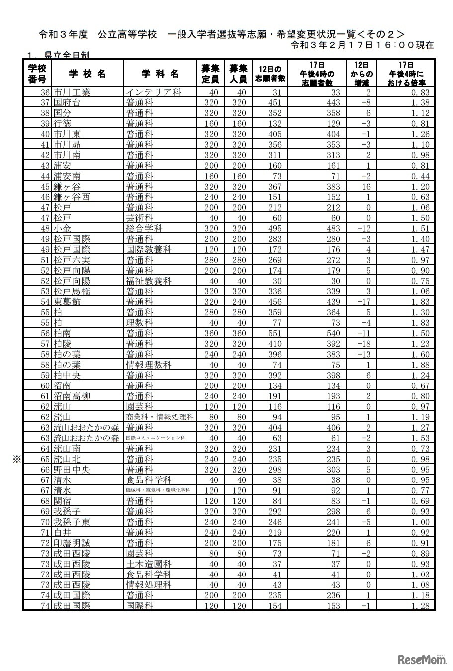
千葉県教育委員会は2021年2月17日、令和3年度(2021年度)千葉県公立高等学校入学者選抜について、一般入学者選抜などの志願状況を発表した。志願変更受付1日目の2月17日午後4時現在、志願倍率は全日制の課程が1.08倍、定時制の課程が0.57倍だった。
千葉県教育委員会は2025年11月7日、2025年度(令和7年度)第2…
令和2年度(2020年度)福島県立高等学校一般入学者選抜学力検…
河合塾グループの河合塾学園(本部:愛知県名古屋市、理事長…
東京都は、子供・子育て世代の実態や意識の変化を把握し、エ…
ベネッセグループの東京個別指導学院は、「ベネッセ文章表現…
千葉県教育委員会は2025年12月6日、2026年度(令和8年度)県…
声の教育社より発売中の学校別過去問題集の出庫状況から、注…
大学入試センターは2025年12月9日、2026年度(令和8年度)大…