advertisement
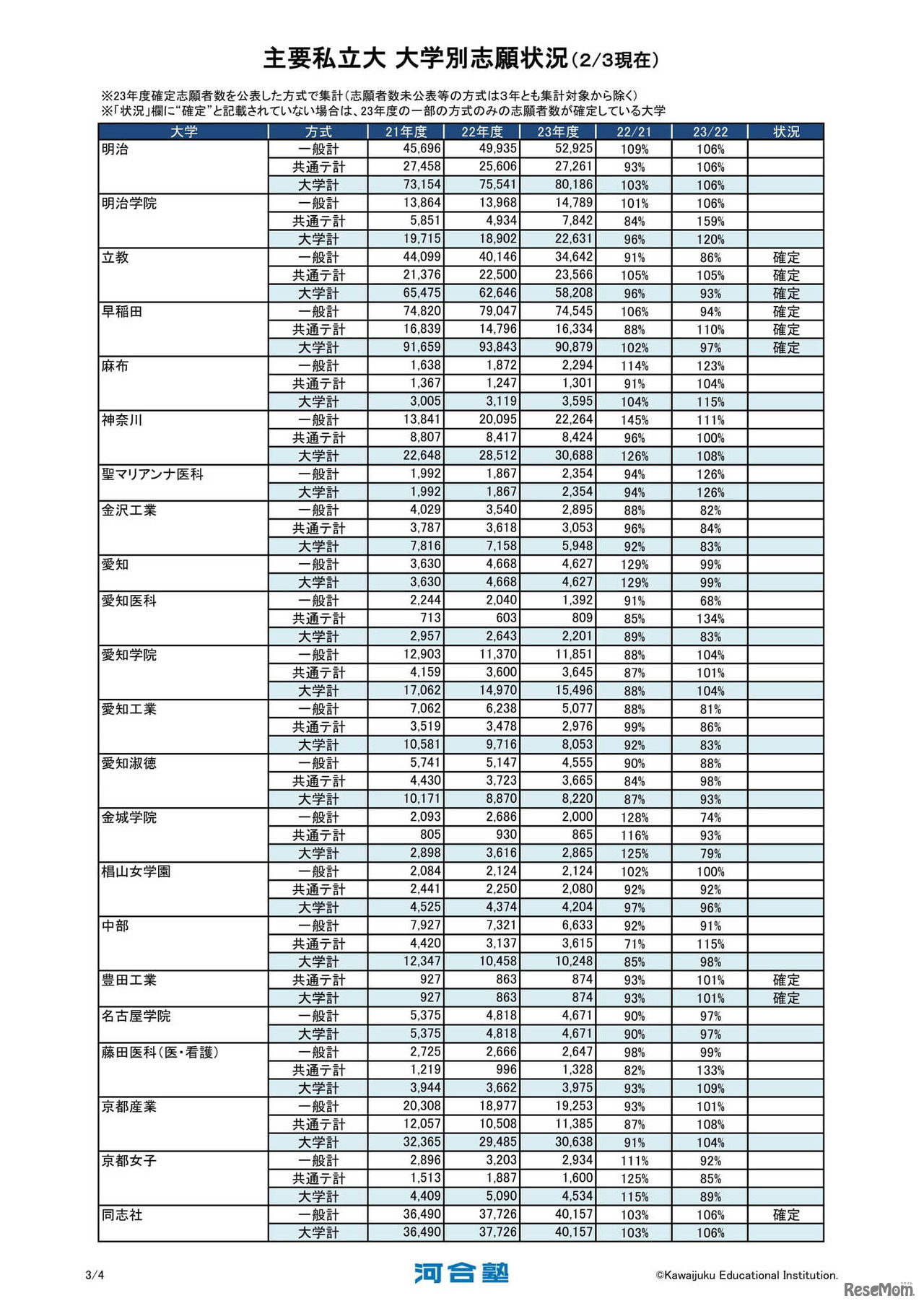
河合塾の大学入試情報サイト「Kei-Net」は、2023年度入試情報に「主要私立大志願状況」を掲載した。2月3日現在、主要80大学の志願者数は150万1,225人。「関関同立」「産近甲龍」の志願者数は、一般方式と共通テスト利用方式ともに前年度と比べ増加している。
鹿児島大学は、2022年11月15日に実施した医学部保健学科看護…
早稲田大学が運営する早稲田大学歴史館は、2026年3月16日に常…
90年以上の指導実績を誇る河合塾では、最新の入試分析データ…
聖心女子大学は2026年4月1日、2027年度(令和9年度)入試から…
大学通信は2026年3月、大学合格者の高校別ランキングを公表し…
日本天文学オリンピック委員会は2026年3月14日、第5回日本天…
リセマム編集部では、浜学園から2025年度 第3回「小6合否判定…
学習塾関係者や進路指導のプロ208人への調査をもとに、西日本…
Language