advertisement
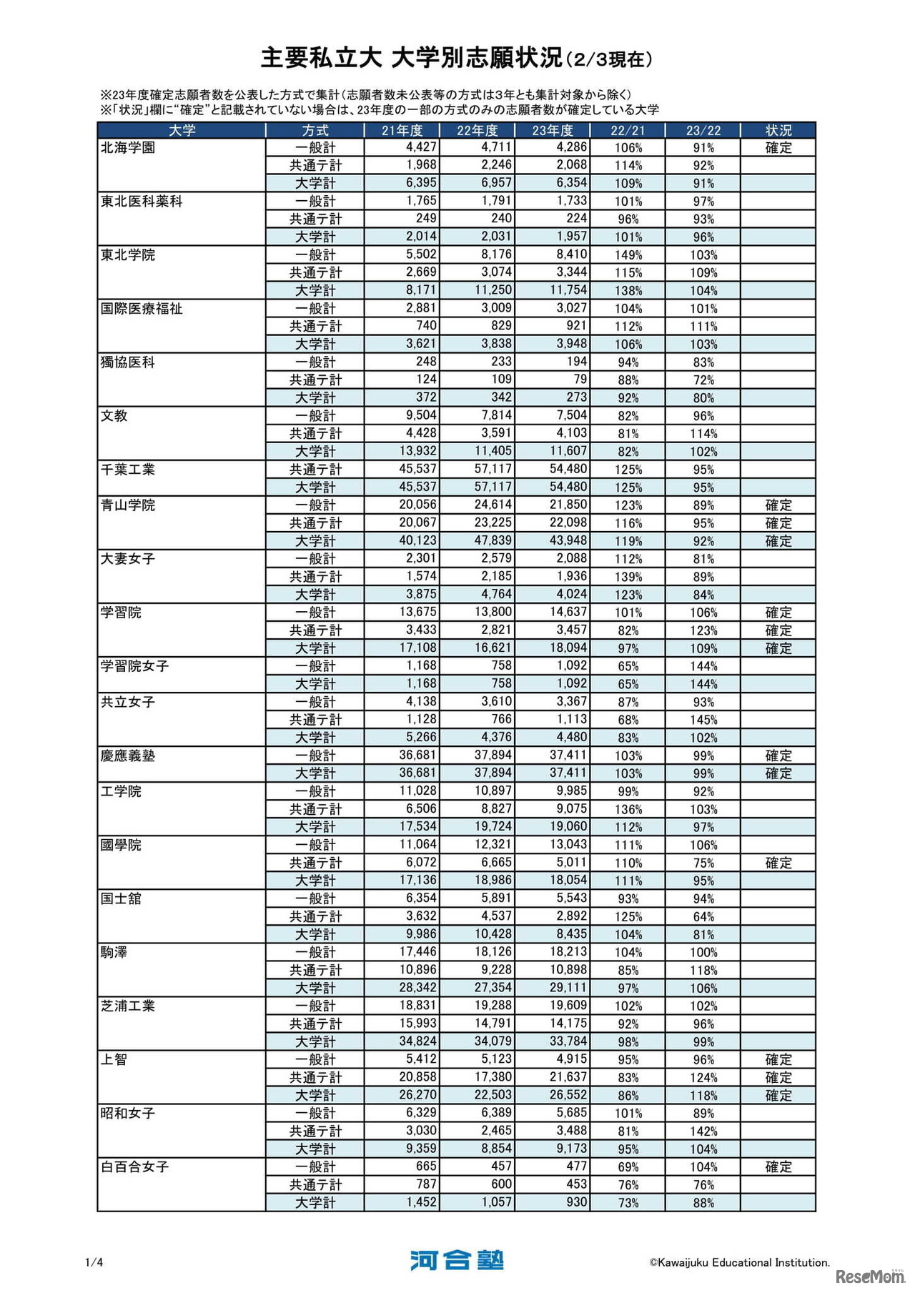
河合塾の大学入試情報サイト「Kei-Net」は、2023年度入試情報に「主要私立大志願状況」を掲載した。2月3日現在、主要80大学の志願者数は150万1,225人。「関関同立」「産近甲龍」の志願者数は、一般方式と共通テスト利用方式ともに前年度と比べ増加している。
鹿児島大学は、2022年11月15日に実施した医学部保健学科看護…
文教大学は2026年2月19日、2026年度A日程入試における出題ミ…
河合塾は2026年2月25日から始まる国公立大一般選抜の志願動向…
香川県教育委員会は、2026年度(令和8年度)香川県公立高校一…
洗足こども短期大学は2026年2月18日、2027年度(令和9年度)…
2026年度の私立大学一般入試がピークを迎えている。予備校等…
Language